Đề thi học sinh giỏi giải toán trên máy tính cầm tay năm học 2012 - 2013 môn Toán khối 11 hệ GDTX
SỞ GIÁO DỤC VÀ ĐÀO TẠO
|
KỲ THI CHỌN HSG GIẢI TOÁN TRÊN MÁY TÍNH CẦM TAY
|
Chú ý:
+ Nếu chọn giá trị gần đúng cho kết quả cuối cùng thì lấy 5 chữ số thập phân không làm tròn.
+ Khi làm bài thí sinh phải ghi tóm tắt cách giải.
+ Nghiệm của phương trình lượng giác làm tròn đến giây.
+ Bài thi gồm 10 bài, mỗi bài làm đúng được 1 điểm.
Bài 1:
Cho sinα = 0,4567 và 00 < α < 900. Tính gần đúng giá trị của biểu thức: ![]()
Bài 2:
Tính gần đúng tất cả các nghiệm (độ, phút, giây) của phương trình:
4sin3x + 19sin2x + 37sinx + 8 = 0
Bài 3:
Tính gần đúng tất cả các nghiệm (độ, phút, giây) của phương trình:
6sin2x - 5cos2x = 4
Bài 4:
Tìm gần đúng giá trị của m để phương trình: sinx + 2(m + 1)cosx = 1 có một nghiệm là: ![]()
Bài 5:
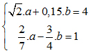
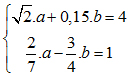
Gọi a và b là nghiệm của hệ phương trình:
Xét dãy số (Un) biết: un = an + bn+1 - (n + 2)ab
Tính gần đúng giá trị của số hạng u6
Bài 6:
Một kệ sách gồm có 12 quyển sách Toán, 7 quyển sách Lý và 8 quyển sách Hóa. Chọn ngẫu nhiên 2 quyển sách từ kệ sách trên. Tính xác suất để chọn được 2 quyển sách cùng một môn và xác suất để chọn được 2 quyển sách khác môn.
Bài 7:
Tính gần đúng giá trị của a, b và c nếu đường tròn: x2 + y2 + ax + by + c = 0 đi qua ba điểm 
Bài 8:
Tìm gần đúng tọa độ giao điểm A và B của elip
và đường thẳng (d): 2x + 3y – 1 = 0.
Bài 9:
Cho hình thang ABCD có AB//CD, góc DAB = 900 và ABC = 125030'. Cạnh bên
cm và đáy lớn DC = 7,89cm. Tính gần đúng diện tích hình thang ABCD.
Bài 10:
Cho tam giác ABC có góc BAC = 600, AC – AB = 8cm và cạnh BC = 14cm. Tính gần đúng diện tích tam giác ABC.