Đề thi học sinh giỏi giải toán trên máy tính cầm tay tỉnh Thanh Hóa năm 2011 môn Toán lớp 12 - Có đáp án
Vndoc.com xin gửi đến các bạn: Đề thi học sinh giỏi giải toán trên máy tính cầm tay tỉnh Thanh Hóa năm 2011 môn Toán lớp 12 - Có đáp án.
Đề thi học sinh giỏi môn Toán:
SỞ GIÁO DỤC VÀ ĐÀO TẠO
|
KỲTHI CHỌN HỌC SINH GIỎI LỚP 12 THPT
|
MÔN THI: TOÁN
Thời gian làm bài: 150 phút (không kể thời gian giao đề)
--------------------------------------------------------------------------------
Bài 1: (2 điểm)
Tìm gần đúng các nghiệm (độ, phút, giây) của phương trình: 3(sinx + cosx) - 5sinxcosx = 2
Bài 2: (2 điểm)
Tính gần đúng diện tích tam giác ABC có cạnh AB = 6 dm, các góc A = 123o31'28'' và B = 20o40'26''
Bài 3: (2 điểm).
Giải hệ phương trình: 
Bài 4: (2 điểm).
Trong mặt phẳng với hệ toạ độ Oxy cho điểm M (1; -1) và hai đường thẳng: d1: x – y – 1 = 0; d2: 2x + y – 5 = 0. Tính gần đúng toạ độ tâm và bán kính của đường tròn đi qua điểm M và tiếp xúc với đường thẳng d2. Biết tâm của đường tròn nằm trên đường thẳng d1.
Bài 5: (2 điểm).
Tính tổng S tất cả các nghiệm x thuộc đoạn [2; 40] của phương trình: ![]()
Bài 6: (2 điểm).
Trong hộp có 100 viên bi được đánh số từ 1 đến 100. Chọn ngẫu nhiên đồng thời 3 viên. Tính xác suất của biến cố: "Tổng 3 số trên 3 viên bi là một số chia hết cho 3"
Bài 7: (2 điểm).
Tính toạ độ gần đúng 2 điểm A, B nằm trên đồ thị hàm số
đối xứng với nhau qua đường thẳng d: y = x – 1
Bài 8: (2 điểm).
Cho hình chóp S.ABCD có đáy ABCD là hình vuông, SA ⊥ (ABCD). Cho SA = AB = a; Gọi C’ là trung điểm SC, (P) là mặt phẳng đi qua A, C’ và vuông góc với mặt phẳng (SAC) cắt SB, SD lần lượt tại B’, D’. Tính thể tích khối đa diện ABCDB’C’D’, biết rằng: a = 7,12345 cm
Bài 9: (2 điểm).
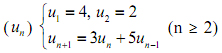
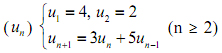
Cho dãy số
.
a. Viết quy trình bấm phím tính un+1.
b. Tính u10 và u15.
Bài 10: (2 điểm).
Cho hàm số
với k thuộc R. Tính f(1 - k)