Đề thi học sinh giỏi giải toán trên máy tính cầm tay tỉnh Thanh Hóa năm 2012 môn Toán lớp 12 - Có đáp án
Nhằm giúp các bạn chuẩn bị thật tốt kiến thức để làm bài thi đạt hiệu quả cao, Vndoc.com xin giới thiệu: Đề thi học sinh giỏi giải toán trên máy tính cầm tay tỉnh Thanh Hóa năm 2012 môn Toán lớp 12 - Có đáp án.
Đề thi học sinh giỏi môn Toán:
SỞ GIÁO DỤC VÀ ĐÀO TẠO
|
KỲTHI CHỌN HỌC SINH GIỎI LỚP 12 THPT
|
MÔN THI: TOÁN
Thời gian làm bài: 150 phút (không kể thời gian giao đề)
--------------------------------------------------------------------------------
Bài 1: (2 điểm)
Tìm gần đúng các nghiệm (độ, phút, giây) của phương trình: sin2x.cosx - 2cos2x + sinx - 2 = 0
Bài 2: (2 điểm)
Tính gần đúng diện tích hình tròn ngoại tiếp tam giác ABC biết BC = 12m, góc B = 23o12'34'', góc C = 74o23'12''
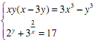
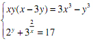
Bài 3: (2 điểm)
Giải hệ phương trình: 
Bài 4: (2 điểm)
Trong mặt phẳng với hệ tọa độ Oxy cho điểm A(-1;3); B(1;1) và đường thẳng (d) có phương trình: y= 2x. Tính gần đúng tọa độ điểm C trên đường thẳng (d) để tam giác ABC cân tại B
Bài 5: (2 điểm)
Tính gần đúng khoảng cách giữa hai điểm cực trị của đồ thị hàm số: ![]()
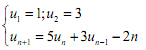
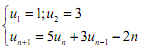
Bài 6: (2 điểm)
Cho dãy (un) xác định bởi: 
a) Lập qui trình bấm phím tính un và tổng Sn (tổng n số hạng đầu tiên của dãy).
b) Tính u8 và S10.
Bài 7: (2 điểm)
An làm bài kiểm tra trắc nghiệm môn Vật lí, đề kiểm tra gồm 40 câu. Mỗi câu có 4 phương án trả lời, trong đó chỉ một phương án đúng. Trả lời đúng mỗi câu được 0,25 điểm. An đã làm được 30 câu trong đó đúng 24 câu. Ở 10 câu còn lại mỗi câu An chọn ngẫu nhiên một phương án trả lời. Tính xác suất để An đạt 8 điểm trở lên
Bài 8: (2 điểm)
Cho dãy số (un) xác định bởi công thức:
, với mọi n nguyên dương. Biết n là giá trị để un là số hạng nhỏ nhất của dãy số trên. Tính hệ số của số hạng chứa x8 trong khai triển: ![]()
Bài 9: (2 điểm)
Người ta muốn làm một con đường đi từ địa điểm A đến địa điểm B ở hai bên bờ một con sông, các số liệu được thể hiện trên hình vẽ, con đường được làm theo đường gấp khúc AMNB. Biết rằng chi phí xây dựng một km đường bên bờ có điểm B nhiều gấp 1,3 lần chi phí xây dựng một km đường bên bờ có điểm A, chi phí làm cầu MN tại địa điểm nào cũng như nhau.
Hỏi phải xây cầu tại điểm M cách điểm H bao nhiêu km để chi phí làm đường là nhỏ nhất?

Bài 10: (2 điểm)
Cho hình chóp S.ABC có đáy là tam giác ABC vuông cân tại B, BA = BC = 2a, hình chiếu vuông góc của S trên mặt phẳng đáy (ABC) là trung điểm E của AB và SE = 2a. Gọi I, J lần lượt là trung điểm của EC, SC. Trên tia đối của tia BA lấy một điểm M. Gọi H là hình chiếu vuông góc của S trên MC. Tính gần đúng giá trị lớn nhất thể tích khối tứ diện EHIJ với a=5,14233cm