Đề thi học sinh giỏi giải toán trên Máy tính cầm tay tỉnh Thừa Thiên Huế - Khối 11 (2009 - 2010)
SỞ GIÁO DỤC VÀ ĐÀO TẠO
|
KỲ THI CHỌN HỌC SINH GIỎI TỈNH
|
Qui định: Học sinh trình bày vắn tắt cách giải, công thức áp dụng, kết quả tính toán vào ô trống liền kề bài toán. Các kết quả tính gần đúng, nếu không có chỉ định cụ thể, được ngầm định chính xác tới 4 chữ số phần thập phân sau dấu phẩy
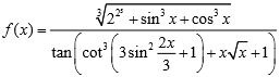
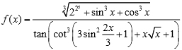
Bài 1. (5 điểm)
Tính giá trị của hàm số f(x) tại x = 0,75
Bài 2. (5 điểm)
Tìm tọa độ giao điểm của của đồ thị hai hàm số![]()
Bài 3. (5 điểm)
Cho biết: 4tan3x + 19tan2x + 37tanx + 28 = 0
và 3siny - 5cosy = 4 ![]()
Tính:
Bài 4. (5 điểm)
Cho dãy hai số un xác định như sau: ![]()
k là số nguyên dương cho trước.
a) Chứng tỏ rằng chỉ có một giá trị k bé hơn 30 để cho các giá trị của dãy số đều nguyên. Khi đó tính chính xác các giá trị u10; u11 u12; u13
b) Với giá trị k tìm được ở câu a, lập công thức truy hồi tính un+2 theo un+1 và un. Chưng minh.
Bài 5. (5 điểm)
Tìm các chữ số hàng đơn vị, hàng chục và hàng trăm của số tự nhiên: ![]()
Bài 6. (5 điểm)
Bác An gửi tiết kiệm số tiền ban đầu là 20 triệu đồng theo kỳ hạn 3 tháng với lãi suất 0,72%/tháng. Sau một năm, bác An rút cả vốn lẫn lãi và gửi lại theo kỳ hạn 6 tháng với lãi suất 0,78%/tháng. Gửi đúng một số kỳ hạn 6 tháng và thêm một số tháng nữa thì bác An phải rút tiền trước kỳ hạn để sửa chữa nhà được số tiền là 29451583,0849007 đồng (chưa làm tròn). Hỏi bác An gửi bao nhiêu kỳ hạn 6 tháng, bao nhiêu tháng chưa tới kỳ hạn và lãi suất không kỳ hạn mỗi tháng là bao nhiêu tại thời điểm rút tiền?
Biết rằng gửi tiết kiệm có kỳ hạn thì cuối kỳ hạn mới tính lãi và gộp vào vốn để tính kỳ hạn sau, còn nếu rút tiền trước kỳ hạn, thì lãi suất tính từng tháng và gộp vào vốn để tính tháng sau. Nêu sơ lược quy trình bấm phím trên máy tính để giải.
Bài 7. (5 điểm)
Cho đa thức P(x) = (2x + 3) + (2x + 3)2 + (2x + 3)3 + ... + (2x + 3)20
a) Tính gần đúng ![]()
b) Tìm hệ số chính xác của số hạng chứa 5 x trong khai triển và rút gọn đa thức P(x).
Bài 8. (5 điểm)
Trong ngày thi giải toán trên máy tính cầm tay (20/12/2009), bạn Bình đố bạn Châu tìm số nguyên x nhỏ nhất sao cho khi bình phương lên thì được một số nguyên có 4 chữ số đầu là 2012 và 4 chữ số cuối là 2009. Em hãy giúp bạn Bình tìm số x này và viết chính xác số x2. Nêu sơ lược cách giải.
Bài 9. (5 điểm)
Cho tứ diện ABCD có AB = 12 dm; AB vuông góc với mặt (BCD); BC = 7 dm; CD = 9 dm và góc CBD = 520.
a) Tính gần đúng thể tích và diện tích toàn phần của tứ diện ABCD.
b) Tính gần đúng bán kính mặt cầu ngoại tiếp tứ diện ABCD và số đo (độ, phút, giây) của góc giữa hai mặt phẳng (SCD) và (BCD). Cho biết: Mặt cầu ngoại tiếp tứ diện là mặt cầu có tâm cách đều 4 đỉnh của tứ diện đó một đoạn bằng bán kính.
Bài 10. (5 điểm)
Một chậu nước hình bán cầu bằng nhôm có bán kính R = 10cm, đặt trong một khung hình hộp chữ nhật (hình 1). Trong chậu có chứa sẵn một khối nước hình chỏm cầu có chiều cao h = 4cm. Người ta bỏ vào chậu một viên bi hình cầu bằng kim loại thì mặt nước dâng lên vừa phủ kín viên bi (hình 2). Tính bán kính của viên bi (kết quả làm tròn đến 2 chữ số lẻ thập phân)
Cho biết công thức tính thể tích khối chỏm cầu của hình cầu (O, R), có chiều cao h là:![]()
