Đề thi học sinh giỏi giải toán trên Máy tính cầm tay tỉnh Thừa Thiên Huế - Khối 8 (2009 - 2010)
SỞ GIÁO DỤC VÀ ĐÀO TẠO
|
KỲ THI CHỌN HỌC SINH GIỎI TỈNH
|
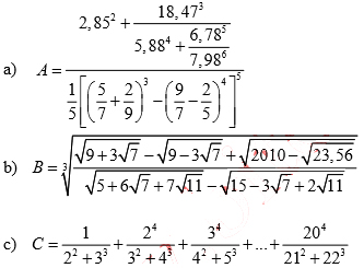
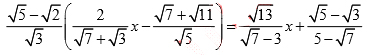
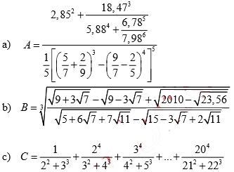
Bài 1: (5 điểm)
Tính giá trị của biểu thức:
Bài 2: (5 điểm)
Cho đa thức P(x) = x5 + ax4 + bx3 + cx2 + dx + e có giá trị là: -14; - 9; 0;13; 30 khi x lần lượt nhận giác trị là 1; 2; 3; 4; 5.
a) Tìm biểu thức hàm của đa thức P(x) .
b) Tính giá trị chính xác của P(17), P(25), P(59), P(157).
Bài 3: (5 điểm)
a) Số chính phương P có dạng
. Tìm các chữ số a, b, c biết rằng a3 + b3 + c3 = 349
b) Số chính phương Q có dạng
. Tìm các chữ số c, d biết rằng tổng các chữ số của Q chia hết cho 5. Nêu sơ lược qui trình bấm phím.
Bài 4: (5 điểm)
a) Tìm nghiệm gần đúng của phương trình:
b) Tìm y biết:
Bài 5: (5 điểm)
Cho các đa thức: P(x) = 120x5 - 98x4 - 335x3 - 93x2 - 86x + 72 và Q(x) = 12x2 - 11x - 36
a) Phân tích các đa thức P(x) và Q(x) thành nhân tử.
b) Tìm các nghiệm đúng hoặc gần đúng của phương trình P(x) = Q(x)(x2 + 3)
Bài 6: (5 điểm)
Tìm các chữ số hàng đơn vị, hàng chục và hàng trăm của số tự nhiên: ![]()
Bài 7: (5 điểm)
Cho dãy hai số un xác định bởi: ![]()
Tính các giá trị chính xác của u3, u4, u15, u16, u17, u18, u19, u20. Viết qui trình bấm phím.
Bài 8: (5 điểm)
Tìm số tự nhiên A lớn nhất để các số 367222, 440659, 672268 khi lần lượt chia cho A đều có cùng số dư. Nêu sơ lược cách giải.
Bài 9: (5 điểm)
Bác An gửi tiết kiệm số tiền ban đầu là 20 triệu đồng theo kỳ hạn 3 tháng với lãi suất 0,72%/tháng. Sau một năm, bác An rút cả vốn lẫn lãi và gửi lại theo kỳ hạn 6 tháng với lãi suất 0,78%/tháng. Gửi đúng một số kỳ hạn 6 tháng và thêm một số tháng nữa thì bác An phải rút tiền trước kỳ hạn để sửa chữa nhà được số tiền là 29451583,0849007 đồng (chưa làm tròn). Hỏi bác An gửi bao nhiêu kỳ hạn 6 tháng, bao nhiêu tháng chưa tới kỳ hạn và lãi suất không kỳ hạn mỗi tháng là bao nhiêu tại thời điểm rút tiền?
Biết rằng gửi tiết kiệm có kỳ hạn thì cuối kỳ hạn mới tính lãi và gộp vào vốn để tính kỳ hạn sau, còn nếu rút tiền trước kỳ hạn, thì lãi suất tính từng tháng và gộp vào vốn để tính tháng sau. Nêu sơ lược quy trình bấm phím trên máy tính để giải.
Bài 10: (6 điểm)
Trong mặt phẳng tọa độ Oxy, cho các điểm: A(-4; 2), B(-1; 3), C(6; 1), D(-3; -2)
a) Tứ giác ABCD là hình gì? Tính chu vi, diện tích và chiều cao của tứ giác ABCD.
b) Tính gần đúng bán kính đường tròn ngoại tiếp và bán kính đường tròn nội tiếp tam giác ACD.
Cho biết: ![]()
(S là diện tích; a, b, c là độ dài ba cạnh; p là nửa chu vi; R, r là bán kính đường tròn ngoại tiếp và đường tròn nội tiếp của tam giác).