Đề thi học sinh giỏi Giải toán trên Máy tính Casio cấp tỉnh Đồng Tháp môn Toán 12 (2010 - 2011)
SỞ GIÁO DỤC VÀ ĐÀO TẠO
|
KỲ THI CHỌN HỌC SINH GIỎI CẤP TỈNH
|
Bài 1. (5 điểm)
Cho các hàm số ![]()
1.1 Hãy tính giá trị gần đúng của S = f(1) + f(2) + f(3) + ... + f(10)
1.2 Hãy tính giá trị gần đúng của
, với f'(x) là đạo hàm của hàm số f(x)
Bài 2. (5 điểm)
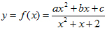
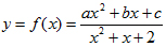
Cho hàm số ![]()
2.1 Tìm a, b, c biết đồ thị hàm số đi qua 3 điểm ![]()
2.2 Với kết quả câu 2.1.Tính khoảng cách giữa điểm cực đại và điểm cực tiểu của đồ thị hàm số
Bài 3. (5 điểm)
Tìm nghiệm gần đúng (độ, phút, giây) của phương trình:![]()
Bài 4. (5 điểm)
Giải phương trình:![]()
Bài 5. (5 điểm)
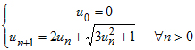
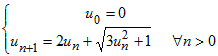
Cho dãy số (un) xác định trên tập N thỏa mãn
Tìm số n nhỏ nhất để chia hết cho 2010
Bài 6. (5 điểm)
Trong mặt phẳng với hệ trục Oxy cho đường thẳng
và hai điểm A(30; 8), B(-1; 40). Tìm điểm M trên đường thẳng Δ sao cho chu vi tam giác MAB nhỏ nhất.
Bài 7. (5 điểm)
Giải hệ phương trình: 
Bài 8. (5 điểm)
Cho tam giác ABC nội tiếp đường tròn tâm O. Biết AB = 6cm, AC = 7cm, BC = 9cm. Tính diện tích hình quạt ABC ứng với cung BC (là phần tô trên hình vẽ).

Bài 9. (5 điểm)
Cho lăng trụ đứng ABCDEF.A1B1C1D1E1F1 có đáy là lục giác đều cạnh bằng 10,25cm, chiều cao 80,57cm. Một mặt phẳng qua A1B1 hợp với mặt đáy một góc 600 và cắt các cạnh CC1, DD1, EE1, FF1 lần lượt tại C2, D2, E2, F2. Tính thể tích khối đa diện ABCDEF.A1B1C2D2E2F2
Bài 10. (5 điểm)
Tính chính xác tổng
S = (1+1+12).1! + (1+2+22).2! + (1+3+32).3! + . . . . + (1+15+152).15!