Đề thi học sinh giỏi Giải toán trên Máy tính Casio cấp tỉnh Đồng Tháp môn Toán 12 (2011 - 2012)
SỞ GIÁO DỤC VÀ ĐÀO TẠO
|
KỲ THI CHỌN HỌC SINH GIỎI CẤP TỈNH
|
Bài 1. (5 điểm)
Cho hàm số 
1.1 Hãy tính giá trị gần đúng của ![]()
1.2 Hãy tính giá trị gần đúng của P = f'(1) + f'(2) + ... + f'(10) với f'(x) là đạo hàm của hàm số f(x)
Bài 2. (5 điểm)
Tìm nghiệm gần đúng (theo đơn vị độ, phút, giây) của phương trình: cos4x + cos3x + 21cos3x + 34cos2x + 6cosx - 27 = 0
Bài 3. (5 điểm)
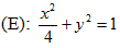
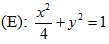
Trong mặt phẳng với hệ trục Oxy cho điểm C(2; 0) và Elip (E):
. Tìm tọa độ các điểm A, B thuộc (E) biết rằng CA=CB và góc ACB = 900
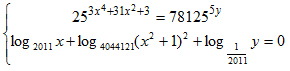
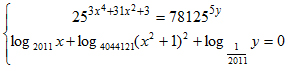
Bài 4. (5 điểm)
Giải hệ phương trình: 
Bài 5. (5 điểm)
Cho hình vuông ABCD có cạnh a = 3,25. Tính gần đúng diện tích phần chung của 4 hình tròn có tâm lần lượt là các điểm A, B, C, D và có cùng bán kính là a (phần tô trên hình vẽ).

Bài 6. (5 điểm)
Cho hình chóp S.ABCD có đáy ABCD là hình thang vuông tại A và D, mặt bên SAD là tam giác đều và vuông góc với (ABCD). Biết AB = AD = 12,48cm; CD = 6,12cm. Tính khoảng cách từ điểm B đến (SAC).
Bài 7. (5 điểm)
Tìm số dư trong các phép chia sau 1234567890987654321 chia cho 207207