Đề thi học sinh giỏi Giải toán trên Máy tính Casio cấp tỉnh Gia Lai môn Toán lớp 12 (2011 - 2012)
Để chuẩn bị cho kỳ thi chọn học sinh giỏi, Vndoc.com xin giới thiệu đến các bạn: Đề thi học sinh giỏi Giải toán trên Máy tính Casio cấp tỉnh Gia Lai môn Toán lớp 12 (2011 - 2012).
Đề thi học sinh giỏi môn Toán:
SỞ GIÁO DỤC VÀ ĐÀO TẠO
|
KỲ THI CHỌN HỌC SINH GIỎI CẤP TỈNH
|
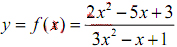
Bài 1: (5 điểm).
Cho hàm số: ![]()
Xác định tọa độ các điểm cực trị của đồ thị hàm số và tính khoảng cách giữa các điểm cực trị đó.
Bài 2: (5 điểm).
Tính nghiệm gần đúng (độ, phút, giây) của phương trình: 2(tanx - sinx) + 3(cotx-cosx) + 5 = 0
Bài 3: (5 điểm).
Trong mặt phẳng Oxy, cho đường tròn: (x - 1)2 + (y - 5)2 = 50. Tính diện tích phần hình tròn n ằm trong góc phần tư thứ nhất.
Bài 4: (5 điểm).
Cho một khu đất hình tròn và một vườn hoa hình tam giác đều nội tiếp trong đường tròn đó. Một em bé đá một quả bóng rơi vào khu đất. Tính gần đúng xác suất để quả bóng rơi vào vườn hoa.
Bài 5: (5 điểm).
Cho hình thang ABCD nội tiếp đường tròn bán kính
; có độ dài đáy lớn gấp ba lần độ dài đáy nhỏ, diện tích hình thang đó bằng 8. Tính chu vi của hình thang ABCD.
Bài 6: (5 điểm).
Cho
. Tính hệ số của x4 trong khai triển P(x) theo lũy thừa của x.
Bài 7: (5 điểm).
Cho dãy số (un) có u1 = 3; u2 = 4; u3 = 5 và un = 2un-1 + un-2 - un-3 (n ≥ 4)
Tính u25 và S25 (Tổng của 25 số hạng đầu tiên ) của dãy số.
Bài 8: (5 điểm).
Cho hình thang cân ABCD, biết độ dài hai cạnh đáy AB = 3 cm, CD = 5 cm. Hai đường chéo
.Tính diện tích phần hình nằm trong hình thang vànằm ngoàicủa bốnhình tròn (phần màu tô đậm ở hình vẽ). Biết rằng đường tròn tâm A và tâm B bằng nhau và tiếp xúc ngoài, đường tròn tâm C và tâm D bằng nhau và tiếp xúc ngoài.

Bài 9: (5 điểm).
Cho hình chóp tứ giác đều S.ABCD, cạnh đáy có độ dài bằng 1 và cạnh bên có độ dài bằng
. Tính khoảng cách giữa hai đường thẳng AB và SC
Bài 10: (5 điểm).
Cho hình tứ diện ABCD. Gọi M, N lần lượt nằm trên cạnh AB và CD. Biết thể tích của tứ diện ACMNvà BDMN lần lượt bằng 500 và 506. Tính giá trị nhỏ nhất của thể tích tứ diện ABCD.