Đề thi học sinh giỏi giải toán trên máy tính Casio năm học 2012 - 2013 môn Vật lý
SỞ GIÁO DỤC VÀ ĐÀO TẠO
|
KỲ THI CHỌN HSG GIẢI TOÁN TRÊN MÁY TÍNH CASIO
|
Bài 1:
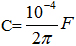
Cho mạch điện xoay chiều như hình vẽ. Biết: Điện áp đặt vào hai đầu đoạn mạch là uAB=200cosπ100t(V), R=100Ω, cuộn dây có R0=50Ω,
, tụ điện có điện dung ![]()

Viết biểu thức điện áp giữa hai đầu cuộn dây.
Đơn vị tính: điện áp (V), góc φ (rad)
Bài 2:
Một electron đang bay với vận tốc v=2.107m/s vào từ trường đều có cảm ứng từ B=2.10-3T, vận tốc của hạt có phương vuông góc với véc tơ B. Tính bán kính quĩ đạo chuyển động của electron trong từ trường.
Đơn vị tính: bán kính (cm)
Bài 3:
Cho mạch điện như hình vẽ. Biết: E=12V, r =1, biến trở Rb có điện trở toàn phần RMN, R1=2,5Ω. Dịch chuyển con chạy C đến vị trí để công suất tiêu thụ của toàn biến trở cực đại. Tìm giá trị của công suất cực đại này.
Đơn vị tính: công suất (W)

Bài 4:
Một người cận thị khi mang kính cận có độ tụ D= -2dp sát mắt thì nhìn được vật ở rất ra mà không điều tiết. Người này bỏ kính cận, dùng kính lúp có tiêu cự 14cm để quan sát một vật nhỏ trong trạng thái không điều tiết, khi ấy vật đặt cách mắt 12cm. Hỏi kính lúp phải đặt cách mắt bao nhiêu?
Đơn vị tính: khoảng cách (cm)
Bài 5:
Hai thanh ray kim loại thẳng đứng, dài, tựa trên hai thanh này là thanh kim loại MN có khối lượng m=30g, chiều dài 50cm. Các thanh ray và thanh MN đều không có điện trở, hai đầu trên của các thanh ray được nối với dây dẫn có điện trở R=0,2 tạo thành mạch kín.
Tất cả đặt trong từ trường đều B có phương, chiều như hình vẽ, cảm ứng từ B=0,2T. Thả nhẹ cho thanh MN trượt không ma sát và luôn luôn nằm ngang trong từ trường đều. Bỏ qua lực cản không khí.

Tính vận tốc cực đại mà thanh MN đạt được.
Đơn vị tính: vận tốc (m/s)
Bài 6:
Một con lắc đơn có quả nặng m = 80g dao động điều hòa, đặt trong điện trường đều có véc tơ cường độ điện trường E thẳng đứng, hướng lên, có độ lớn E = 4800V/m. Khi chưa tích điện cho quả nặng thì chu kì dao động của con lắc là To =2s. Tính chu kỳ dao động của con lắc khi quả nặng được tích điện q= - 6.10-5 C.
Đơn vị tính: chu kỳ (s)
Bài 7:
Dây dài AB căng ngang, đầu dây A cố định, đầu dây B buộc vào nhánh của âm thoa. Âm thoa dao động thì tốc độ truyền sóng trên dây là 30m/s. Phương trình sóng tới tại A là uA=3cos100πt(cm). Viết phương trình sóng dừng tại điểm M trên dây cách A một đoạn 70 cm. Đơn vị tính: u(cm), φ (rad)
Bài 8:
Điện tích Q đặt tại điểm O trong không khí tác dụng lực lên điện tích q.
- Nếu đặt q tại điểm A thì chịu tác dụng một lực điện 1,8N.
- Nếu đặt q tại B (B nằm trên đường thẳng OA) thì lực điện là 0,8N.
Tính lực điện tại điểm M (M là trung điểm của AB).
Đơn vị tính: F(N).
Bài 9:
Do có vận tốc đầu, một vật trượt lên rồi lại tuột xuống trên một mặt phẳng nghiêng, góc nghiêng α =150 so với mặt ngang. Biết thời gian vật đi xuống gấp 1,5 lần thời gian vật đi lên. Tìm hệ số ma sát giữa vật và mặt phẳng chuyển động.
Bài 10:
Một bình chứa khí Ôxi ở áp suất p1 = 1,5.107 Pa và nhiệt độ t1 = 370C, tổng khối lượng của khí và bình là M1 = 50kg. Dùng khí một thời gian áp kế chỉ p2 = 5.106 Pa ở nhiệt độ t2 = 70C, lúc này khối lượng khí và bình là M2 = 49kg. Tính khối lượng của khí còn lại trong bình.
Đơn vị tính: m (kg ).