Đề thi học sinh giỏi khu vực Bắc Bộ năm học 2011 - 2012 môn Toán lớp 10
Vndoc.com xin gửi đến các bạn: Đề thi học sinh giỏi khu vực Bắc Bộ năm học 2011 - 2012 môn Toán lớp 10.
Đề thi học sinh giỏi môn Toán:
HỘI CÁC TRƯỜNG THPT CHUYÊN
|
KÌ THI CHỌN HỌC SINH GIỎI KHU VỰC MỞ RỘNG
|
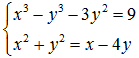
Câu 1 ( 4 điểm):
Giải hệ phương trình sau:

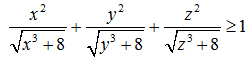
Câu 2 (4 điểm):
Cho là các số thực dương thỏa mãn. Chứng minh bất đẳng thức:

Câu 3 (4 điểm):
Trên các cạnh BC, CA, AB và về phía ngoài tam giác ABC ta dựng các hình vuông BCMN, ACPQ, ABEF. Gọi G là trọng tâm tam giác ABC. Kí hiệu A1 là giao điểm của AG và FQ; B1 là giao điểm của BG và NE; C1 là giao điểm của CG và MP. Ta xác định các điểm A2, B2, C2 sao cho AGC2F, BGA2N, CGB2P là các hình bình hành. Chứng minh rằng các đường thẳng đi qua A2, B2, C2 tương ứng vuông góc với B1C1, C1A1, A1B1 đồng quy.
Câu 4 (4 điểm):
Giả sử m, n là các số tự nhiên thỏa mãn: 4m3 + m = 12n3 + n. Chứng minh rằng m - n là lập phương của một số nguyên.
Câu 5 (4 điểm):
Trên mặt phẳng toạ độ Oxy, xét tập hợp M các điểm có toạ độ (x; y) với x, y thuộc R* và x ≤ 12; y ≤ 12. Mỗi điểm trong M được tô bởi một trong ba màu: màu đỏ, màu trắng hoặc màu xanh. Chứng minh rằng tồn tại một hình chữ nhật có các cạnh song song với các trục toạ độ mà tất cả các đỉnh của nó thuộc M và được tô cùng màu.