Đề thi học sinh giỏi lớp 1 năm học 2013-2014 trường Tiểu học Cao Dương, Hà Nội
Đề thi học sinh giỏi lớp 1
Đề thi học sinh giỏi lớp 1 năm học 2013-2014 trường Tiểu học Cao Dương, Hà Nội bao gồm đề thi học sinh giỏi môn Toán và đề thi học sinh giỏi môn Tiếng Việt lớp 1 có đáp án đi kèm. Đây là tài liệu hay giúp các em học sinh tự luyện tập và củng cố kiến thức, giúp các thầy cô có thêm tài liệu bồi dưỡng học sinh khá giỏi. Mời thầy cô và các em cùng tham khảo.
Đề thi học sinh giỏi lớp 1 môn Toán năm học 2014-2015 trường Tiểu học Thanh Mai, Hà Nội
Đề thi học sinh giỏi lớp 1 môn Tiếng Việt năm học 2014-2015 trường Tiểu học Thanh Mai, Hà Nội
|
TRƯỜNG TIỂU HỌC CAO DƯƠNG |
ĐỀ THI HỌC SINH GIỎI CẤP TRƯỜNG |
I. MÔN TOÁN: 10 ĐIỂM
Bài 1: (2 điểm) Điền vào chỗ chấm
a) Số bé nhất có hai chữ số là: .........................................
b) Số liền trước của số lớn nhất có một chữ số là: ................
c) Số liền sau của số nhỏ nhất có hai chữ số là: ...................
d) Số tròn chục lớn nhất có hai chữ số là: ..........................
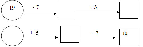
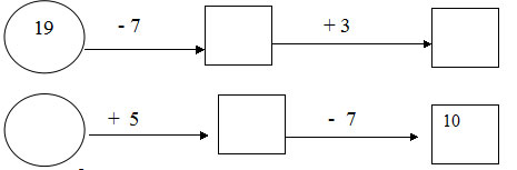
Bài 2: (2 điểm) Điền số thích hợp vào ô trống:

Bài 3: (2 điểm)
a) Điền số thích hợp vào ô trống:
47 + □ = 77 12 - □ < 77 - 76
b) Điền dấu thích hợp vào chỗ chấm:
35 + 43 ........... 33 + 45 79 – 7 ............. 20 + 50
Bài 4: (1 điểm) Với các số 0, 3, 4 hãy viết tất cả các số có hai chữ số khác nhau:
..........................................................................................
Bài 5: (2 điểm): Cửa hàng có 68 chiếc xe đạp, đã bán đi ba chục chiếc. Hỏi cửa hàng còn lại bao nhiêu chiếc xe đạp?
Bài 6: (1 điểm) Viết số thích hợp vào chỗ chấm:

Hình vẽ bên có:
............... đoạn thẳng
...................... tam giác
II. TIẾNG VIỆT – TNXH: 10 ĐIỂM
1. Chép đúng chính tả đoạn văn sau:
Ve và Kiến
Ve và kiến cùng sống trên cây nhưng mỗi người một nết. Kiến chăm chỉ làm việc suốt ngày. Thức ăn kiếm được ăn không hết, kiến để dành phòng khi mùa đông. Ve thì nhởn nhơ ca hát suốt mùa hè.
2. Điền vào chỗ chấm:
a) Điền l hay n vào chỗ trống:
........o lắng .........o nê
b) Điền c hay k
Cái ..........uốc Cái ........im
c) Điền ngh hay ng vào chỗ trống:
lắng ...........e giấc ...........ủ
d) Điền anh hay inh ?
tinh nh ................ k .............. sợ
3. Sắp xếp các từ sau thành một câu văn và viết lại cho đúng:
chim, trong các vòm cây, líu lo. hót
..........................................................................................
4. Khoanh vào chữ cái trước ý không đúng.
Chúng ta ăn uống đầy đủ mỗi ngày sẽ có ích lợi gì?
a. Giúp cơ thể chóng lớn. c. Giúp chúng ta học giỏi.
b. Giúp cơ thể khỏe mạnh. d. Làm cho thức ăn ngon hơn.
Đáp án đề thi học sinh giỏi lớp 1
Đáp án đề thi học sinh giỏi lớp 1 môn Toán
Bài 1: 2 điểm
Mỗi ý đúng được 0,5 đ
a) Số bé nhất có hai chữ số là: 10
b) Số liền trước của số lớn nhất có một chữ số: 8
c) Số liền sau của số nhỏ nhất có hai chữ số là: 11
d) Số tròn chục lớn nhất có hai chữ số là: 90.
Bài 2: 2 điểm
Mỗi ý đúng được 1 đ
19, 7, 12, 15 12 , 5, 7, 10
Bài 3: 2 điểm
Mỗi ý đúng được 0,5 đ
47 + 30 = 77 12 – 12 < 77 - 76
35 + 43 = 33 + 45 79 – 7 > 20 + 50
Bài 4: 1 điểm
Các số viết được là: 30; 40; 43; 34
Bài 5: 2 điểm
Ba chục chiếc xe đạp bằng 30 chiếc. Vậy cửa hàng đã bán 30 chiếc đạp. (0,5đ)
Cửa hàng còn lại số xe đạp là: 68 – 30 = 38 (chiếc) (1đ)
Đáp số: 38 chiếc (0,5đ)
Bài 6: 1 điểm
Mỗi ý đúng được 1đ
- Có 8 đoạn thẳng (0,5đ)
- Có 4 tam giác (0,5đ)
Đáp án đề thi học sinh giỏi lớp 1 môn Tiếng Việt
1. Chính tả: 5 điểm
Bài viết không mắc lỗi chính tả, chữ viết rõ ràng, trình bày đúng đoạn văn, bài viết đẹp: 5 điểm.
Mắc lỗi chính tả trong bài viết (sai - lẫn phụ âm đầu hoặc vần, thanh, không viết hoa đúng quy định), trừ 0,5 điểm
Nếu chữ viết không rõ ràng, sai về độ cao, khoảng cách, kiểu chữ hoặc trình bày bẩn.... trừ 0,5 điểm toàn bài.
2. Điền vào chỗ trống: 2 điểm
Mỗi ý đúng được 0,5 đ
lo lắng no nê
cái cuốc cái kim
lắng nghe giấc ngủ
3. 1 điểm
Trong các vòm cây, chim hót líu lo. Hoặc: Chim hót líu lo trong các vòm cây.
4. Khoanh vào ý d: 1 điểm.