Đề thi học sinh giỏi lớp 10 THPT tỉnh Hà Tĩnh năm học 2011 - 2012 môn Toán
Nhằm giúp các bạn chuẩn bị thật tốt kiến thức để làm bài thi đạt hiệu quả cao, Vndoc.com xin giới thiệu: Đề thi học sinh giỏi lớp 10 THPT tỉnh Hà Tĩnh năm học 2011 - 2012 môn Toán.
Đề thi học sinh giỏi lớp 10 môn Toán:
SỞ GIÁO DỤC VÀ ĐÀO TẠO
|
KỲ THI CHỌN HỌC SINH GIỎI TỈNH CẤP THPT
|
Thời gian làm bài: 150 phút (không kể thời gian giao đề)
Câu 1.
a) Giải phương trình: ![]()
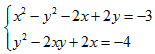
b) Giải hệ phương trình: 
Câu 2.
Tam giác ABC có độ dài các cạnh là a, b, c và có diện tích bằng 1. Chứng minh rằng: ![]()
Câu 3.
a) Xác định hình dạng tam giác ABC biết các góc A, B, C của tam giác đó thỏa mãn hệ thức: ![]()
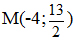
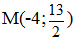
b) Cho hình thoi ABCD, biết đường thẳng AB, AC lần lượt có phương trình 2x – y + 7 = 0, 3x – y + 8 = 0 và đường thẳng BC đi qua điểm
. Lập phương trình đường thẳng CD.
Câu 4.
Các số thực x, y, z dương thỏa mãn điều kiện:
. Tìm giá trị nhỏ nhất của biểu thức: