Đề thi học sinh giỏi lớp 10 THPT tỉnh Hà Tĩnh năm học 2012 - 2013 môn Toán - Có đáp án
Nhằm giúp các bạn chuẩn bị thật tốt kiến thức để làm bài thi đạt hiệu quả cao, Vndoc.com xin giới thiệu: Đề thi học sinh giỏi lớp 10 THPT tỉnh Hà Tĩnh năm học 2012 - 2013 môn Toán - Có đáp án.
Đề thi học sinh giỏi lớp 10 môn Toán:
SỞ GIÁO DỤC VÀ ĐÀO TẠO
|
KỲ THI CHỌN HỌC SINH GIỎI TỈNH CẤP THPT
|
Thời gian làm bài: 180 phút (không kể thời gian giao đề)
Câu 1.
a) Giải bất phương trình: ![]()
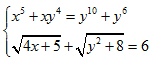
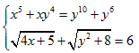
b) Giải hệ phương trình: 
Câu 2.
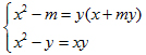
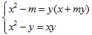
Tìm tất cả các giá trị của tham số để hệ phương trình sau có nghiệm: 
Câu 3.
Trong mặt phẳng với hệ tọa độ Oxy cho điểm I (2; 4) và các đường thẳng d1: 2x - y - 2 = 0; d1: 2x + y - 2 = 0. Viết phương trình đường tròn (C) có tâm I sao cho (C) cắt d1 tại A, B và cắt d2 tại C, D thỏa mãn: AB2 + CD2 + 16 = 5.AB.CD
Câu 4.
1. Cho tam giác ABC có AB = c, BC = a, CA = b. Trung tuyến CM vuông góc với phân giác trong AL và ![]()
Tính b/c và cosA.
2. Cho a,b thuộc i thỏa mãn: ![]()
Tìm giá trị nhỏ nhất của biểu thức: ![]()
Câu 5.
Cho f(x) = x2 - ax + b với a,b thuộc ¢ thỏa mãn điều kiện: Tồn tại các số nguyên m, n, p đôi một phân biệt và 1 ≤ m, n, p ≤ 0 sao cho: |f(m)| = |f(n)| = |f(p)| = 7.
Tìm tất cả các bộ số (a;b).