Giao diện mới của VnDoc Pro: Dễ sử dụng hơn - chỉ tập trung vào lớp bạn quan tâm. Vui lòng chọn lớp mà bạn quan tâm: Lưu và trải nghiệm
Đóng
Điểm danh hàng ngày
  • Hôm nay +3
  • Ngày 2 +3
  • Ngày 3 +3
  • Ngày 4 +3
  • Ngày 5 +3
  • Ngày 6 +3
  • Ngày 7 +5
Bạn đã điểm danh Hôm nay và nhận 3 điểm!
Nhắn tin Zalo VNDOC để nhận tư vấn mua gói Thành viên hoặc tải tài liệu Hotline hỗ trợ: 0936 120 169

Đề thi học sinh giỏi lớp 10 THPT tỉnh Vĩnh Phúc năm 2012 môn Toán - Có đáp án

Lớp: Lớp 10
Dạng tài liệu: Đề thi HSG
Loại File: Word
Phân loại: Tài liệu Tính phí

Vndoc.com xin gửi đến các bạn: Đề thi học sinh giỏi lớp 10 THPT tỉnh Vĩnh Phúc năm 2012 môn Toán - Có đáp án.

Đề thi học sinh giỏi lớp 10 môn Toán:

SỞ GIÁO DỤC VÀ ĐÀO TẠO
TỈNH VĨNH PHÚC

(ĐỀ THI CHÍNH THỨC)

KỲ THI CHỌN HSG LỚP 10 NĂM HỌC 2011-2012
ĐỀ THI MÔN: TOÁN

Dành cho học sinh THPT không chuyên
Thời gian làm bài: 180 phút, không kể thời gian giao đề

Câu 1 (4,0 điểm).

1. Giải phương trình: (x thuộc ¡)

2. Giả sử phương trình bậc hai ẩn x (m là tham số): x2 - 2(m - 1)x - m3 + (m + 1)2 = 0 có hai nghiệm x1, x2 thỏa mãn điều kiện x1 + x2 ≤ 4. Tìm giá trị lớn nhất và giá trị nhỏ nhất của biểu thức sau: P = x13 + x23 + x1x2(3x1 + 3x2 + 8).

Câu 2 (1,5 điểm).

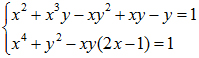
Giải hệ phương trình: (x, y thuộc ¡)

Câu 3 (1,5 điểm).

Cho x, y là hai số thực dương thoả mãn điều kiện . Tìm giá trị nhỏ nhất của P = x + y.

Câu 4 (3,0 điểm).

1. Cho tam giác ABC nội tiếp trong đường tròn tâm O. Gọi M, N, P lần lượt là điểm đối xứng của O qua các đường thẳng BC, CA, AB; H là trực tâm của tam giác ABC và L là trọng tâm tam giác MNP. Chứng minh rằng và ba điểm O, H, L thẳng hàng.

2. Cho tứ giác lồi ABCD. Giả sử tồn tại một điểm M nằm bên trong tứ giác sao cho MAB = MBC = MCD = MDA = φ. Chứng minh đẳng thức sau: , trong đó α là số đo góc giữa hai đường thẳng AC và BD.

3. Trong mặt phẳng với hệ trục tọa độ vuông góc Oxy, cho tam giác ABC ngoại tiếp đường tròn tâm I. Các đường thẳng AI, BI, CI lần lượt cắt đường tròn ngoại tiếp tam giác ABC tại các điểm (M, N, P không trùng với các đỉnh của tam giác ABC). Tìm tọa độ các đỉnh A, B, C biết rằng đường thẳng AB đi qua điểm Q(-1; 1) và điểm A có hoành độ dương.

Chọn file muốn tải về:
Đóng Chỉ thành viên VnDoc PRO/PROPLUS tải được nội dung này!
Đóng
79.000 / tháng
Đặc quyền các gói Thành viên
PRO
Phổ biến nhất
PRO+
Tải tài liệu Cao cấp 1 Lớp
30 lượt tải tài liệu
Xem nội dung bài viết
Trải nghiệm Không quảng cáo
Làm bài trắc nghiệm không giới hạn
Mua cả năm Tiết kiệm tới 48%
1

Có thể bạn quan tâm

Xác thực tài khoản!

Theo Nghị định 147/2024/ND-CP, bạn cần xác thực tài khoản trước khi sử dụng tính năng này. Chúng tôi sẽ gửi mã xác thực qua SMS hoặc Zalo tới số điện thoại mà bạn nhập dưới đây:

Số điện thoại chưa đúng định dạng!
Số điện thoại này đã được xác thực!
Bạn có thể dùng Sđt này đăng nhập tại đây!
Lỗi gửi SMS, liên hệ Admin
Sắp xếp theo
🖼️

Thi học sinh giỏi lớp 10

Xem thêm
🖼️

Gợi ý cho bạn

Xem thêm