Đề thi học sinh giỏi lớp 11 THPT Thuận Thành số 1 tỉnh Bắc Ninh năm 2013
Đề thi học sinh giỏi lớp 11 môn Toán
Đề thi học sinh giỏi lớp 11 THPT Thuận Thành số 1 tỉnh Bắc Ninh năm 2013 được giới thiệu cùng các em học sinh khối lớp 11 để các em ôn tập và rèn luyện kỹ năng làm bài thi học sinh giỏi các môn Toán, Văn, Anh, Lịch sử, Sinh, Hóa.
Đề thi học sinh giỏi môn Ngữ văn lớp 11 trường THPT Phan Đình Phùng, Đắk Nông năm học 2015 - 2016
Đề thi học sinh giỏi môn Toán lớp 11 trường THPT Tam Quan năm 2015 - 2016
SỞ GD&ĐT BẮC NINH
|
ĐỀ THI HỌC SINH GIỎI LỚP 11 CẤP TRƯỜNG
|
MÔN THI: TOÁN (Thời gian: 120 phút)
Câu 1 (2,0 điểm).
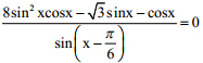
Tính tổng các nghiệm của phương trình sau trên [0; 1004π]

Câu 2 (3,0 điểm).
a) Từ các chữ số 0, 2, 3, 5, 6, 8 có thể lập được bao nhiêu số tự nhiên gồm 6 chữ số đôi một khác nhau, trong đó hai chữ số 0 và 5 không đứng cạnh nhau.
b) Tính tổng: ![]()
Câu 3 (1,0 điểm).
Chứng minh rằng phương trình x5 - x - 2 = 0 có nghiệm x0 thỏa mãn ![]()
Câu 4 (3,0 điểm).
Cho hình chóp S.ABCD có đáy ABCD là nửa lục giác đều cạnh a, SA vuông góc với mặt phẳng đáy và SA = a3. M và I là hai điểm thỏa mãn
. Mặt phẳng (AMI) cắt SC tại N
a) Chứng minh đường thẳng SD vuông góc với mặt phẳng (AMI).
b) Chứng minh góc ANI = 90o; góc AMI = 90o.
c) Tính diện tích của thiết diện tạo bởi m ặt phẳng (AMI) và hình chóp S.ABCD.
Câu 5 (1,0 điểm).
Cho ba số dương a, b, c thay đổi. Tìm giá trị nhỏ nhất của biểu thức:
![]()
Đề thi học sinh giỏi lớp 11 môn Văn
MÔN THI: NGỮ VĂN (Thời gian: 120 phút)
Câu 1 (8 điểm)
Trình bày suy nghĩ của anh (chị) về quan niệm sau của Shakespeare: “Ước mong mà không kèm theo hành động thì dù hy vọng có cánh cũng không bao giờ bay tới mục đích”.
Câu 2 (12 điểm)
Nhận xét về bài thơ Tràng giang của Huy Cận, có nhà phê bình đã viết: “Tràng giang đã nối tiếp mạch thi cảm truyền thống với sự cách tân đích thực”.
Anh (chị) hãy phân tích bài thơ Tràng giang để làm sáng tỏ nhận định trên.
Đề thi học sinh giỏi lớp 11 môn Vật Lý
MÔN THI: VẬT LÝ (Thời gian: 120 phút)
Câu 1 (3,0 điểm).
Hai quả cầu nhỏ bằng kim loại có cùng kích thước và cùng khối lượng m = 90g được treo vào cùng một điểm bằng hai sợi dây mảnh cách điện có cùng chiều dài l = 1,5m.
a. Truyền cho hai quả cầu (đang nằm cân bằng) một điện tích q = 4,8.10-7C thì thấy hai quả cầu tách ra xa nhau một đoạn a. Xác định a, xem góc lệch của các sợi dây so với phương thẳng đứng là rất nhỏ.
b. Vì một lý do nào đó, một trong hai quả cầu bị mất hết điện tích đã truyền cho. Khi đó xảy ra hiện tượng gì? Tìm khoảng cách mới giữa hai quả cầu đó.
Câu 2 (2,0 điểm).
Hai điện tích điểm có độ lớn bằng nhau được đặt trong không khícách nhau 15cm. Lực tương tác giữa hai điện tích đó bằng 9N. Đặt hai điện tích đó vào một môi trường có hằng số điện môi là ε và đưa chúng cách nhau 10cm thì lực tương tác giữa chúng vẫn bằng 9N. Hỏi độ lớn của các điện tích và hằng số điện môi ε.
Câu 3 (2,0 điểm).
Một nguồn điện có suất điện động E = 24V, điện trở trong r = 6Ω dùng để thắp sáng bòng đèn loại 6V - 3W.
a. Có thể mắc tối đa mấy bóng đèn để các đèn đều sáng bình thường và phải mắc chúng như thế nào?
b. Nếu chỉ có 6 bóng đèn thì phải mắc chúng như thế nào để các bóng sáng bình thường. Trong các cách mắc đó cách mắc nào lợi hơn.
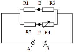
Câu 4 (3,0 điểm).
Cho mạch điện như hình vẽ, biết R1 = 8Ω; R2 = R3 = 12Ω; R4 là một biến trở. Đặt vào hai đầu A, B của một mạch điện hiệu điện thế UAB = 66V.

a. Mắc vào hai đầu E, F của một mạch một ampe kế có điện trở rất nhỏ không đáng kể và điều chỉnh biến trở R4 = 28Ω. Tìm số chỉ của ampe kế và chiều của dòng điện qua ampe kế.
b. Thay ampe kế bằng một vôn kế có điện trở rất lớn.
- Tìm số chỉ của vôn kế. Hãy cho biết cực dương của vôn kế phải mắc vào điểm nào?
- Điều chỉnh biến trở cho đến khi vôn kế chỉ số 0. Tìm hệ thức giữa các điện trở R1, R2, R3 và R4 khi đó và tính R4.
Mời các em tải file đầy đủ về tham khảo.