Đề thi học sinh giỏi lớp 11 THPT tỉnh Hà Tĩnh năm học 2012 - 2013 môn Toán - Có đáp án
SỞ GIÁO DỤC VÀ ĐÀO TẠO
|
KỲ THI CHỌN HỌC SINH GIỎI TỈNH CẤP THPT
|
Thời gian làm bài: 180 phút (không kể thời gian giao đề)
Câu 1.
a) Giải phương trình: 
b) Tính giới hạn sau: ![]()
Câu 2.
a) Cho khai triển: (1 + x + x2 + x3 + ... + x10)11 = ao + a1x + a2x2 + a3x3 + ... + a110x110
Chứng minh đẳng thức sau: ![]()
b) Tính tổng: ![]()
Câu 3.
a) Cho tam giác ABC có độ dài các đường cao BB' = √5, CC' = 2 và
. Tính diện tích tam giác ABC.
b) Cho tam giác ABC có các góc thỏa mãn
. Tính các góc của tam giác đó khi biểu thức sau đạt giá trị nhỏ nhất: P = 2cos4C + 4cos2C + cos2A + cos2B
Câu 4.
Cho hình chóp SABC có SC vuông góc với mặt phẳng (ABC) và tam giác ABC vuông tại B. Biết AB = a, AC = a và góc giữa hai mặt phẳng (SAB), (SAC) bằng α với
. Tính độ dài SC theo a.
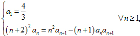
Câu 5.
Cho dãy số (an) thỏa mãn:
và n thuộc ¥
Tìm liman.