Đề thi học sinh giỏi lớp 12 THPT chuyên tỉnh Vĩnh Phúc năm 2013 môn Toán - Có đáp án
Vndoc.com xin gửi đến các bạn: Đề thi học sinh giỏi lớp 12 THPT chuyên tỉnh Vĩnh Phúc năm 2013 môn Toán - Có đáp án.
Đề thi học sinh giỏi môn Toán:
SỞ GIÁO DỤC VÀ ĐÀO TẠO
|
KỲTHI CHỌN HỌC SINH GIỎI CẤP TỈNH
|
Môn: TOÁN – THPT CHUYÊN
Khóa ngày: 02/11/2012
--------------------------------
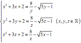
Câu 1 (2,5 điểm).
Giải hệ phương trình: 
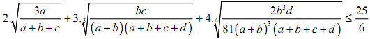
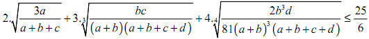
Câu 2 (1,5 điểm).
Cho a, b, c, d là các số thực dương. Chứng minh rằng:
Câu 3 (2,0 điểm).
Giả sử n là một số nguyên dương sao cho 3n + 2n chia hết cho 7. Tìm số dư của 2n + 11n + 2012n2 khi chia cho 7.
Câu 4 (3,0 điểm).
Cho hình bình hành ABCD. Gọi P là điểm sao cho trung trực của đoạn thẳng CP chia đôi đoạn AD và trung trực của đoạn AP chia đôi đoạn CD. Gọi Q là trung điểm của đoạn thẳng BP.
a) Chứng minh rằng đường thẳng BP vuông góc với đường thẳng AC.
b) Chứng minh rằng BP = 4.OE, trong đó E là trung điểm của AC và O là tâm đường tròn ngoại tiếp tam giác AQC.
Câu 5 (1,0 điểm).
Cho m, n (m > n > 4) là các số nguyên dương và A là một tập hợp con có đúng n phần tử của tập hợp S = {1, 2, 3,..., m}.
Chứng minh rằng nếu m > (n - 1)(1 + C2n + C3n + C4n) thì ta luôn chọn được n phần tử đôi một phân biệt x1, x2,..., xn ∈ sao cho các tập hợp
thỏa mãn
với mọi j ≠ k và j, k = 1, n.