Giao diện mới của VnDoc Pro: Dễ sử dụng hơn - chỉ tập trung vào lớp bạn quan tâm. Vui lòng chọn lớp mà bạn quan tâm: Lưu và trải nghiệm
Đóng
Điểm danh hàng ngày
  • Hôm nay +3
  • Ngày 2 +3
  • Ngày 3 +3
  • Ngày 4 +3
  • Ngày 5 +3
  • Ngày 6 +3
  • Ngày 7 +5
Bạn đã điểm danh Hôm nay và nhận 3 điểm!
Nhắn tin Zalo VNDOC để nhận tư vấn mua gói Thành viên hoặc tải tài liệu Hotline hỗ trợ: 0936 120 169

Đề thi học sinh giỏi lớp 12 THPT tỉnh Bến Tre năm học 2009 - 2010 môn Toán

Lớp: Lớp 12
Dạng tài liệu: Đề thi HSG
Loại File: PDF
Phân loại: Tài liệu Tính phí

Để chuẩn bị cho kỳ thi học sinh giỏi, Vndoc.com xin giới thiệu đến các bạn: Đề thi học sinh giỏi lớp 12 THPT tỉnh Bến Tre năm học 2009 - 2010 môn Toán.

Đề thi học sinh giỏi môn Toán:

SỞ GIÁO DỤC VÀ ĐÀO TẠO
BẾN TRE
(Đề thi chính thức)

KỲ THI CHỌN HỌC SINH GIỎI LỚP 12 THPT
CẤP TỈNH - NĂM HỌC 2009-2010

MÔN THI: TOÁN
Thời gian làm bài: 180 phút (không kể thời gian giao đề)
--------------------------------------------------------------------------------

Câu 1: (3 điểm)

Cho tam giác ABC với A, B là hai điểm cố định; C là điểm di động trên nửa mặt phẳng có bờ là đường thẳng AB. Vẽ về phía ngoài tam giác ABC các hình vuông ACIM và BCJP. Chứng minh rằng đường thẳng MP luôn đi qua một điểm cố định. Xác định điểm cố định đó

Câu 2: (4 điểm)

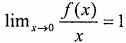
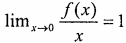
Cho hàm số f: R -> R thỏa các tính chất sau:

- f(x + y) = f(x) + f(y) + 3xy(x + y) với mọi x, y thuộc R

-

Xác định hàm f

Câu 3: (4 điểm)

Cho tam giác ABC. Gọi M, N, P là các điểm lần lượt trên cạnh AB, BC, CA sao cho . Các cặp đường thẳng AN, CM; BP, AN; CM, PB đôi một cắt nhau tại I, J, K. Đặt .

Khảo sát sự biến thiên và vẽ đồ thị hàm số y = f(x)

Câu 4: (4 điểm)

Cho dãy số:

u1 = 12
u2 = 22 + 42
u3 = 52 + 72 + 92
u4 = 102 + 122 + 142 + 162
u5 = 172 + 192 + 212 + 232 + 252
u6 = 262 + 282 + 302 + 322 + 342 + 362
..........................................................

Tìm công thức số hạng tổng quát un của dãy.

Câu 5: (5 điểm)

Cho đa giác đều A1A2A3...A15 nội tiếp đường tròn tâm O. Tất cả các miền tam giác OA1Ai+1 với i = 1, 2, 3... 15; A16 ≡ A1 đều được tô bằng một trong năm màu đỏ, vàng, xanh, trắng và đen sao cho hai miền tam giác có chung một cạnh không có màu tô giống nhau. Tìm số cách tô màu các tam giác thỏa mãn đề bài đã cho.

Chọn file muốn tải về:
Đóng Chỉ thành viên VnDoc PRO/PROPLUS tải được nội dung này!
Đóng
79.000 / tháng
Đặc quyền các gói Thành viên
PRO
Phổ biến nhất
PRO+
Tải tài liệu Cao cấp 1 Lớp
30 lượt tải tài liệu
Xem nội dung bài viết
Trải nghiệm Không quảng cáo
Làm bài trắc nghiệm không giới hạn
Mua cả năm Tiết kiệm tới 48%
1

Có thể bạn quan tâm

Xác thực tài khoản!

Theo Nghị định 147/2024/ND-CP, bạn cần xác thực tài khoản trước khi sử dụng tính năng này. Chúng tôi sẽ gửi mã xác thực qua SMS hoặc Zalo tới số điện thoại mà bạn nhập dưới đây:

Số điện thoại chưa đúng định dạng!
Số điện thoại này đã được xác thực!
Bạn có thể dùng Sđt này đăng nhập tại đây!
Lỗi gửi SMS, liên hệ Admin
Sắp xếp theo
🖼️

Thi học sinh giỏi lớp 12

Xem thêm
🖼️

Gợi ý cho bạn

Xem thêm