Đề thi học sinh giỏi lớp 12 THPT tỉnh Bình Phước năm 2012 - 2013
Vndoc.com xin giới thiệu đến các bạn: Đề thi học sinh giỏi lớp 12 THPT tỉnh Bình Phước năm 2012 - 2013.
Đề thi học sinh giỏi lớp 12:
SỞ GIÁO DỤC VÀ ĐÀO TẠO
|
KỲ THI CHỌN HỌC SINH GIỎI CẤP TỈNH
|
MÔN THI: TOÁN (Thời gian: 180 phút)
Câu I. (4 điểm)
Cho hàm số y = x4 - 4mx2 + m + 2 có đồ thị là (Cm), (với m là tham số).
1. Khảo sát sự biến thiên và vẽ đồ thị (C) khi m = 1.
2. Tìm tất cả các giá trị của tham số m để hàm số có ba cực trị và ba điểm cực trị tạo thành một tam giác đều.
Câu II. (5 điểm)
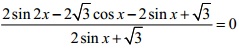
1. Giải phương trình sau: ![]()
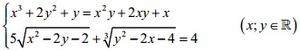
2. Giải hệ phương trình sau:
Câu III. (4 điểm)
1. Trong mặt phẳng toạ độ (Oxy) cho hình chữ nhật ABCD có tâm I(1/2; 0), phương trình đường thẳng AB: x - 2y + 2 = 0 và AB = 2AD. Tìm toạ độ các đỉnh của hình chữ nhật ABCD biết đỉnh A có hoành độ âm.
2. Cho tam giác ABC và các điểm K, L, M lần lượt nằm trên các đoạn AB, BC, CA sao cho
. Chứng minh rằng nếu bán kính của các đường tròn ngoại tiếp các tam giác: ΔAKM, ΔBLK, ΔCML bằng nhau thì bán kính của các đường tròn nội tiếp các tam giác ấy cũng bằng nhau.
Câu IV. (3 điểm)
Cho hình chóp S.ABCD có đáy ABCD là hình vuông cạnh a, cạnh SA vuông góc với đáy và SA = a. Gọi M, N lần lượt là trung điểm của các cạnh AD và SC.
1. Tính thể tích khối tứ diện MNBD.
2. Tính khoảng cách từ điểm D đến mặt phẳng (MNB).
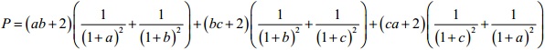
Câu V. (2 điểm)
Cho a, b, c là các số thực dương thoả (a + b + c + d)4 = 18(ab + bc + ca) + 27
Tìm giá trị nhỏ nhất của biểu thức sau:
Câu VI. (2 điểm)
Cho dãy số thực (un) xác định bởi: 
Tìm giới hạn: ![]()
MÔN THI: NGỮ VĂN (Thời gian: 180 phút)
Câu 1: (8 điểm)
Trước sức mạnh của cái ác, cái xấu, nhiều người nghĩ rằng: “Thấy nó xấu, nó ác, nhưng mình cũng sợ nó thù mình. Vả lại, đó không phải là việc của mình”. Suy nghĩ của anh/chị về quan niệm trên.
Câu 2: (12 điểm)
Trong “Trang giấy trước đèn”, nhà văn Nguyễn Minh Châu cho rằng, tình yêu thương con người của người nghệ sĩ “vừa là một niềm hân hoan say mê, vừa là một nỗi đau đớn, khắc khoải, một mối quan hoài thường trực về số phận, hạnh phúc của những người xung quanh mình”.
Suy nghĩ của anh/chị về ý kiến trên. Hãy làm sáng tỏ qua việc phân tích truyện ngắn “Hai đứa trẻ” của nhà văn Thạch Lam.
MÔN THI: LỊCH SỬ (Thời gian: 180 phút)
Câu 1. (5 điểm)
Trình bày hoàn cảnh ra đời của tổ chức ASEAN và nội dung chính của Hiệp ước Bali (1976). Phân tích cơ hội và thách thức của Việt Nam khi gia nhập tổ chức ASEAN.
Câu 2. (4 điểm)
Để phá tan kế hoạch Nava, Đảng ta đã đề ra chủ trương gì trong đông – xuân 1953 – 1954? Trình bày diễn biến, kết quả và ý nghĩa cuộc Tiến công chiến lược Đông – Xuân 1953 – 1954 của quân dân ta.
Câu 3. (4 điểm)
Từ năm 1941 đến năm 1945, lực lượng chính trị và lực lượng vũ trang của cách mạng đã được xây dựng, phát triển như thế nào? Vai trò của Mặt trận Việt Minh đối với thắng lợi của Cách mạng tháng Tám năm 1945?
Câu 4. (4 điểm)
Nêu những cống hiến to lớn của lãnh tụ Nguyễn Ái Quốc trong quá trình hoạt động cứu nước từ năm 1911 đến năm 1930. Phân tích một cống hiến to lớn nhất.
Câu 5. (3 điểm)
Đường lối kháng chiến chống thực dân Pháp được thể hiện trong các văn kiện nào của Đảng? Vì sao trong cuộc kháng chiến chống thực dân Pháp, quân và dân ta phải thực hiện phương châm đánh lâu dài?