Đề thi học sinh giỏi lớp 12 THPT tỉnh Hà Tĩnh môn Toán (năm học 2010 - 2011)
|
SỞ GIÁO DỤC VÀ ĐÀO TẠO ĐỀ CHÍNH THỨC |
KỲ THI CHỌN HỌC SINH GIỎI CẤP TỈNH LỚP 10 THPT ĐỀ THI MÔN: TOÁN |
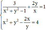
Bài 1.
a) Giải hệ phương trình: 
b) Trong mặt phẳng, với hệ toạ độ Oxy, chứng minh đồ thị hàm số sau cắt trục hoành tại ít nhất 1 điểm:

Bài 2.
Tìm tham số m để hàm số y = x3 + 3mx2 + 3(m + 1)x + 1 nghịch biến trên một đoạn có độ dài lớn hơn 4.
Bài 3.
Hai số thực x, y thoả mãn: x2 + 4y2 = 2. Tìm giá trị lớn nhất và giá trị nhỏ nhất của biểu thức: A = x3 + 4y3 - 3xy
Bài 4.
Hình chóp A.BCD có góc ACB = góc ADB = 900. AB = 2a. Đáy BCD là tam giác cân tại B, có góc CBD = 2α và CD = a. Tính thể tích khối chóp A.BCD theo a và α.
Bài 5.
Tam giác ABC không nhọn có các góc thoả mãn đẳng thức:

Hỏi tam giác ABC là tam giác gì?