Đề thi học sinh giỏi lớp 12 THPT tỉnh Hải Dương năm học 2011 - 2012 môn Toán (Vòng 1) - Có đáp án
Nhằm giúp các bạn chuẩn bị thật tốt kiến thức để làm bài thi đạt hiệu quả cao, Vndoc.com xin giới thiệu: Đề thi học sinh giỏi lớp 12 THPT tỉnh Hải Dương năm học 2011 - 2012 môn Toán (Vòng 1) - Có đáp án.
Đề thi học sinh giỏi môn Toán:
SỞ GIÁO DỤC VÀ ĐÀO TẠO
|
KÌ THI CHỌN HỌC SINH GIỎI TỈNH
|
Thời gian làm bài: 180 phút (không kể thời gian giao đề)
Câu 1 (2 điểm)
1. Cho hàm số
có đồ thị là (C) và điểm M tùy ý thuộc (C). Tiếp tuyến của (C) tại điểm M cắt hai tiệm cận tại A và B. Gọi I là giao điểm của hai tiệm cận. Chứng minh tam giác IAB có diện tích không phụ thuộc vị trí điểm M.
2. Tìm m để hàm số
có cực đại.
Câu 2 (2 điểm)
1. Giải phương trình: ![]()
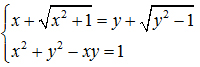
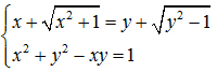
2. Giải hệ phương trình: 
Câu 3 (2 điểm)
1. Chứng minh
. Từ đó suy ra trong mọi tam giác nhọn ABC ta có:![]()
2. Tìm giá trị lớn nhất, nhỏ nhất của hàm số: ![]()
Câu 4 (3 điểm)
Cho hình chóp S.ABCD có đáy ABCD là hình vuông cạnh a, SA = A√3 và SA vuông góc với mặt phẳng đáy.
1. Mặt phẳng (P) đi qua điểm A và vuông góc với SC cắt SB, SC, SD lần lượt tại B’, C’, D’. Tính thể tích khối chóp S.AB’C’D’ theo a.
2. M và N là hai điểm thay đổi lần lượt thuộc các cạnh BC và DC sao cho góc MAN = 45o. Tìm giá trị lớn nhất và giá trị nhỏ nhất của thể tích khối chóp S.AMN.
Câu 5 (1 điểm)
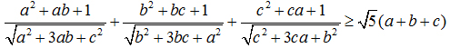
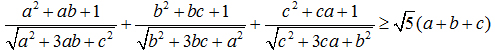
Cho a, b, c là các số thực dương thỏa mãn a2 + b2 + c2 = 1. Chứng minh: