Đề thi học sinh giỏi lớp 12 THPT tỉnh Quảng Bình năm học 2012 - 2013 môn Toán - Vòng 1 (Có đáp án)
Vndoc.com xin gửi đến các bạn: Đề thi học sinh giỏi lớp 12 THPT tỉnh Quảng Bình năm học 2012 - 2013 môn Toán - Vòng 1 (Có đáp án).
Đề thi học sinh giỏi môn Toán:
SỞ GIÁO DỤC VÀ ĐÀO TẠO
|
KỲ THI CHỌN HỌC SINH GIỎI TỈNH LỚP 12 THPT
|
MÔN THI: TOÁN - Vòng 1
Thời gian làm bài: 180 phút (không kể thời gian giao đề)
--------------------------------------------------------------------------------
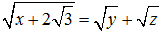
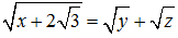
Câu 1 (2.5 điểm):
Giải phương trình: ![]()
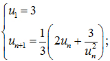
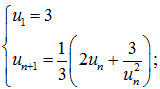
Câu 2 (2.5 điểm):
Cho dãy số (un) xác định bởi công thức: 
Tính: lim un?
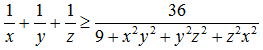
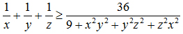
Câu 3 (1.5 điểm):
Cho các số thực dương x, y, z. Chứng minh rằng:
.
Câu 4 (2.0 điểm):
Cho tam giác ABC có M là trung điểm cạnh BC, N là chân đường phân giác góc . Đường thẳng vuông góc với NA tại N cắt các đường thẳng AB, AM lần lượt tại P, Q theo thứ tự đó. Đường thẳng vuông góc với AB tại P cắt AN tại O. Chứng minh OQ vuông BC.
Câu 5 (1.5 điểm):
Tìm nghiệm nguyên dương của phương trình: ![]()