Đề thi học sinh giỏi lớp 12 THPT tỉnh Quảng Bình năm học 2012 - 2013 môn Toán - Vòng 2 (Có đáp án)
Nhằm giúp các bạn chuẩn bị thật tốt kiến thức để làm bài thi đạt hiệu quả cao, Vndoc.com xin giới thiệu: Đề thi học sinh giỏi lớp 12 THPT tỉnh Quảng Bình năm học 2012 - 2013 môn Toán - Vòng 2 (Có đáp án).
Đề thi học sinh giỏi môn Toán:
SỞ GIÁO DỤC VÀ ĐÀO TẠO
|
KỲ THI CHỌN HỌC SINH GIỎI TỈNH LỚP 12 THPT
|
MÔN THI: TOÁN - Vòng 2
Thời gian làm bài: 180 phút (không kể thời gian giao đề)
--------------------------------------------------------------------------------
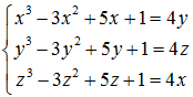
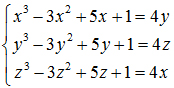
Câu 1 (2.5 điểm):
Giải hệ phương trình: 
Câu 2 (2.0 điểm):
Cho x, y thỏa mãn x2 + y2 = 2. Tìm giá trị lớn nhất, giá trị nhỏ nhất của biểu thức:
M = x2(x + 2) + y2(y + 2) + 3(x + y)(xy - 4)
Câu 3 (1.5 điểm):
Tìm tất cả các hàm số f: ¥* -> ¥* thỏa mãn đồng thời các điều kiện sau:
1) Với mọi m, n thuộc ¥*: n < m <-> f(n) < f(m).
2) f(2n) = f(n) + n với mọi y thuộc ¥*
3) Nếu f(n) là số chính phương thì n là số chính phương.
Câu 4 (2.5 điểm):
Cho tứ diện ABCD có độ dài các cạnh bằng 1. Gọi M, N lần lượt là trung điểm của DB, AC. Trên đường thẳng AB lấy điểm P, trên đường thẳng DN lấy điểm Q sao cho PQ // CM. Tính độ dài PQ và thể tích khối AMNP.
Câu 5: (1.5 điểm):
Cho đa giác đều n cạnh (n ≥ 8). Tính số tứ giác có 4 cạnh là 4 đường chéo của đa giác đã cho.