Đề thi học sinh giỏi lớp 12 THPT TP Hải Phòng năm 2012 - 2013
Vndoc.com xin giới thiệu đến các bạn: Đề thi học sinh giỏi lớp 12 THPT TP Hải Phòng năm 2012 - 2013.
Đề thi học sinh giỏi môn Toán:
SỞ GIÁO DỤC VÀ ĐÀO TẠO
|
KỲ THI CHỌN HỌC SINH GIỎI CẤP THÀNH PHỐ LỚP 12
|
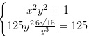
Bài 1.
Giải hệ phương trình: 
Bài 2.
Cho tam giác ABC có đường tròn nội tiếp I tiếp xúc các cạnh BC, AC lần lượt tại D, E. Đường tròn bàng tiếp góc A của tam giác tiếp xúc BC tại D và các phần kéo dài của đoạn thẳng CA, AB lần lượt tại G, H. Chứng minh rằng GF, DE và đường tròn ngoại tiếp tam giác BFH đồng quy.
Bài 3.
Tồn tại hay không đa thức f(x) bậc 2014 với các hệ số thực thỏa mãn f(x2 - 2013) chia hết cho f(x)?
Bài 4.
Cho dãy số {xn}∞n = 1 thỏa mãn:
![]()
Đặt:
![]()
Chứng minh rằng {xn}∞n = 1 hội tụ và tính
.
Bài 5.
Có n bạn nam và n bạn nữ xếp thành một hàng thẳng. Chứng minh rằng tổng khoảng cách giữa hai bạn cùng giới nhỏ hơn hoặc bằng tổng khoảng cách giữa hai bạn khác giới.