Giao diện mới của VnDoc Pro: Dễ sử dụng hơn - chỉ tập trung vào lớp bạn quan tâm. Vui lòng chọn lớp mà bạn quan tâm: Lưu và trải nghiệm
Đóng
Điểm danh hàng ngày
  • Hôm nay +3
  • Ngày 2 +3
  • Ngày 3 +3
  • Ngày 4 +3
  • Ngày 5 +3
  • Ngày 6 +3
  • Ngày 7 +5
Bạn đã điểm danh Hôm nay và nhận 3 điểm!
Nhắn tin Zalo VNDOC để nhận tư vấn mua gói Thành viên hoặc tải tài liệu Hotline hỗ trợ: 0936 120 169

Đề thi học sinh giỏi lớp 12 THPT tỉnh Quảng Ninh năm 2012 - 2013

Lớp: Lớp 12
Dạng tài liệu: Đề thi HSG
Loại File: PDF
Phân loại: Tài liệu Tính phí

Nhằm giúp các bạn chuẩn bị thật tốt kiến thức để làm bài thi đạt hiệu quả cao, Vndoc.com xin giới thiệu: Đề thi học sinh giỏi lớp 12 THPT tỉnh Quảng Ninh năm 2012 - 2013.

Đề thi học sinh giỏi lớp 12:

SỞ GIÁO DỤC VÀ ĐÀO TẠO
QUẢNG NINH

ĐỀ THI CHÍNH THỨC

KỲ THI CHỌN HỌC SINH GIỎI CẤP TỈNH LỚP 12
NĂM HỌC: 2012 - 2013

Ngày thi: 23/10/2012

ĐỀ THI MÔN: TOÁN (BẢNG A)

Bài 1 (6 điểm):

1. Cho hàm số Đề thi học sinh giỏi lớp 12 THPT tỉnh Quảng Ninhcó đồ thị (C), gọi I là giao hai tiệm cận. Viết phương trình tiếp tuyến với đồ thị (C) biết tiếp tuyến ấy cắt hai đường tiệm cận của đồ thị tại hai điểm A, B sao cho bán kính đường tròn nội tiếp tam giác IAB lớn nhất.

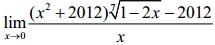
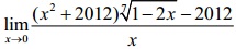
2. Tính giới hạn sau: Đề thi học sinh giỏi lớp 12 THPT tỉnh Quảng Ninh

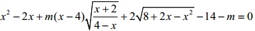
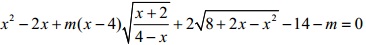
Bài 2 (3 điểm):

Tìm m để phương trình sau đây có nghiệm:
Đề thi học sinh giỏi lớp 12 THPT tỉnh Quảng Ninh

Bài 3 (3 điểm):

Cho tam giác ABC vuông ở A, gọi I là tâm đường tròn nội tiếp tam giác. Đặt IA = x, IB = y, IC = z. Chứng minh rằng:
Đề thi học sinh giỏi lớp 12 THPT tỉnh Quảng Ninh

Bài 4 (5 điểm):

Trong mặt phẳng (P) cho đường tròn đường kính BC cố định. M là một điểm di động trên đường tròn ấy. Trên đường thẳng d vuông góc với mặt phẳng (P) tại B lấy một điểm A cố định. Gọi H, K lần lượt là hình chiếu của B trên AM và AC.

1. Chứng minh rằng khi M di động mặt phẳng (BHK) cố định.

2. Xác định vị trí của M để diện tích tam giác BHK lớn nhất

Bài 5 (3 điểm):

Cho ba số thực a,b,c thỏa mãn abc = 2√2. Tìm giá trị nhỏ nhất của biểu thức:
Đề thi học sinh giỏi lớp 12 THPT tỉnh Quảng Ninh

ĐỀ THI MÔN: TOÁN (BẢNG B)

Bài 1 (4 điểm):

Tính giới hạn sau:cĐề thi học sinh giỏi lớp 12 THPT tỉnh Quảng Ninh

Bài 2 (3 điểm):

Cho tam giác ABC có góc C = α, B = β với α< β, trung tuyến AM. Gọi φ là góc nhọn tạo bởi AM với cạnh BC, chứng minh rằng: 2cotφ = cotα- cotβ.

Bài 3 (4 điểm):

Giải bất phương trình: Đề thi học sinh giỏi lớp 12 THPT tỉnh Quảng Ninh

Bài 4 (6 điểm):

Cho tam giác đều ABC cạnh a, đường thẳng (d) qua A vuông góc với mặt phẳng (ABC). Trên (d) lấy điểm M. Gọi I là trực tâm của tam giác MBC, H là trực tâm của tam giác ABC, giao điểm của đường thẳng HI với (d) là N.

1. Chứng minh rằng tứ diện MNBC có các cặp cạnh đối vuông góc với nhau

2. Chứng minh rằng khi M di chuyển trên (d) thì tích AM.AN không đổi.

Bài 5 (3 điểm):

Tìm giá trị nhỏ nhất của biểu thức Đề thi học sinh giỏi lớp 12 THPT tỉnh Quảng Ninh với a, b là các số thực thỏa mãn a ≠ 0, b ≠ 0.

Chọn file muốn tải về:
Đóng Chỉ thành viên VnDoc PRO/PROPLUS tải được nội dung này!
Đóng
79.000 / tháng
Đặc quyền các gói Thành viên
PRO
Phổ biến nhất
PRO+
Tải tài liệu Cao cấp 1 Lớp
30 lượt tải tài liệu
Xem nội dung bài viết
Trải nghiệm Không quảng cáo
Làm bài trắc nghiệm không giới hạn
Mua cả năm Tiết kiệm tới 48%
2

Có thể bạn quan tâm

Xác thực tài khoản!

Theo Nghị định 147/2024/ND-CP, bạn cần xác thực tài khoản trước khi sử dụng tính năng này. Chúng tôi sẽ gửi mã xác thực qua SMS hoặc Zalo tới số điện thoại mà bạn nhập dưới đây:

Số điện thoại chưa đúng định dạng!
Số điện thoại này đã được xác thực!
Bạn có thể dùng Sđt này đăng nhập tại đây!
Lỗi gửi SMS, liên hệ Admin
Sắp xếp theo
🖼️

Thi học sinh giỏi lớp 12

Xem thêm
🖼️

Gợi ý cho bạn

Xem thêm