Đề thi Học sinh giỏi lớp 9 cấp Quận Long Biên năm học 2012 - 2013
PHÒNG GIÁO DỤC VÀ ĐÀO TẠO
|
KỲ THI HỌC SINH GIỎI CẤP QUẬN VÒNG 3
|
MÔN THI: TOÁN
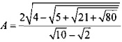
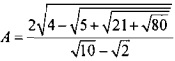
Bài 1: (3 điểm)
a. Rút gọn biểu thức:
b. Tìm các giá trị của x để biểu thức sau có giá trị nguyên:![]()
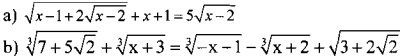
Bài 2: (6 điểm)
1. Giải các phương trình sau:
2. Tìm các số nguyên x và y thỏa mãn: x2 + xy - 2010x - 2011y = 2012
Bài 3: (2 điểm)
Cho a > 0, b > 0 và a + b ≤ 1. Tìm giá trị lớn nhất của biểu thức:![]()
Bài 4: (3 điểm)
a. Tìm tất cả các bộ ba số nguyên tố khác nhau a, b, c thỏa mãn: abc = 3(a + b+ c)
b. Cho a; b là 2 số nguyên. Chứng minh rằng 5(a + b)2 + ab chia hết cho 441 thì ab cũng chia hết cho 441.
Bài 5: (6 điểm)
Cho tam giác ABC vuông tại A, (AB < AC) có đường cao AH và O là trung điểm của BC. Đường tròn tâm I đường kính AH cắt AB, AC lần lượt tại M và N
a. Chứng minh: Tứ giác BMNC nội tiếp
b. Gọi D là giao điểm của OA và MN. Chứng minh: ![]()
c. Gọi P là giao điểm của đường thẳng MN và đường thẳng BC. Đường thẳng AP cắt đường tròn đường kính AH tại điểm K (K # A). Tính số đo của góc BKC.
d. Cho AB = 6cm; AC = 8cm. Tính bán kính của đường tròn ngoại tiếp tam giác BMN.
MÔN THI: NGỮ VĂN
Câu 1: 8 điểm
Mở đầu văn bản "Chuẩn bị hành trang vào thế kỉ mới", tác giả Vũ Khoan có viết:
"Lớp trẻ Việt Nam cần nhận ra những cái mạnh, cái yếu của con người Việt Nam để rèn những thói quen tốt khi bước vào nền kinh tế mới."
(Sách Ngữ văn 9, tập 2, trang 26)
Dựa vào văn bản và vốn sống của mình, em hãy viết bài nghị luận bàn về vấn đề trên.
Câu 2: 12 điểm
Giáo sư Nguyễn Đăng Mạnh từng nhận xét:
"Thơ không cần nhiều từ ngữ. Nó cũng không quan tâm đến hình xác của sự sống. Nó chỉ cần cảm nhận và truyền đi một chút linh hồn của cảnh vật thông qua linh hồn thi sỹ"
Em hiểu câu nói trên như thế nào? Qua bài thơ "Đoàn thuyền đánh cá" của Huy Cận hãy làm sáng tỏ điều đó.