Đề thi học sinh giỏi lớp 9 THCS tỉnh Đăk Nông năm học 2010 - 2011 môn Toán
SỞ GIÁO DỤC VÀ ĐÀO TẠO
|
ĐỀ THI CHỌN HỌC SINH GIỎI CẤP TỈNH LỚP 9 THCS
|
MÔN THI: TOÁN
Thời gian làm bài: 150 phút (không kể thời gian giao đề)
--------------------------------------------------------------------------------
Bài 1: (4,0 điểm)
1) Cho biểu thức
. Tìm điều kiện của x để A > 0.
2) Cho 
Tính giá trị của biểu thức: B = (x4 - x3 - x2 + 2x - 1)2011
Bài 2: (4,0 điểm)
1) Giải phương trình:
.
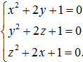
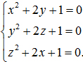
2) Cho x, y z là nghiệm của hệ phương trình: 
Tính giá trị của biểu thức: C = x10 + y3 + z2011.
Bài 3: (4,0 điểm)
1) Tìm các cặp số (a, b) thỏa mãn hệ thức:
.
2) Tìm tất cả các số tự nhiên n sao cho: n2 – 14n + 38 là một số chính phương.
Bài 4: (5,0 điểm)
Cho đường tròn tâm O, hai đường kính AB và CD vuông góc với nhau. E là một điểm nằm trên cung nhỏ AD. Nối CE cắt OA tại M và nối BE cắt OD tại N.
1) Chứng minh: ![]()
2) Chứng minh tích
là một hằng số. Từ đó, suy ra giá trị nhỏ nhất của tổng
, khi đó cho biết vị trí của điểm E?
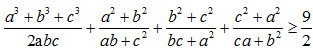
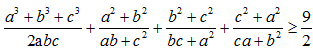
Bài 5: (3,0 điểm)
Cho a, b, c là ba số thực dương. Chứng minh bất đẳng thức:
![]()