Đề thi học sinh giỏi lớp 9 THCS tỉnh Hải Dương năm 2014
SỞ GIÁO DỤC & ĐÀO TẠO
|
KÌ THI CHỌN HỌC SINH GIỎI TỈNH
|
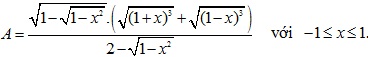
Câu 1 (2 điểm).
a) Rút gọn biểu thức với 
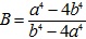
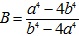
b) Cho a và b là các số thỏa mãn a > b > 0 và a3 - a2b + ab2 - 6b3 = 0.
Tính giá trị của biểu thức ![]()
Câu 2 (2 điểm).
a) Giải phương trình ![]()
b) Giải hệ phương trình ![]()
Câu 3 (2 điểm).
a) Tìm các số nguyên dương x, y thỏa mãn phương trình xy2 + 2xy + x = 32y.
b) Cho hai số tự nhiên a, b thỏa mãn 2a2 + a = 3b2 + b.
Chứng minh rằng 2a + 2b + 1 là số chính phương.
Câu 4 (3 điểm).
Cho tam giác đều ABC nội tiếp đường tròn (O, R). H là một điểm di động trên đoạn OA (H khác A). Đường thẳng đi qua H và vuông góc với OA cắt cung nhỏ AB tại M. Gọi K là hình chiếu của M trên OB.
a) Chứng minh góc HKM = 2AMH.
b) Các tiếp tuyến của (O, R) tại A và B cắt tiếp tuyến tại M của (O, R) lần lượt tại D và E. OD, OE cắt AB lần lượt tại F và G. Chứng minh OD.GF = OG.DE.
c) Tìm giá trị lớn nhất của chu vi tam giác MAB theo R.
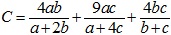
Câu 5 (1 điểm).
Cho a, b, c là các số thực dương thỏa mãn 2ab + 6bc + 2ac = 7abc. Tìm giá trị nhỏ nhất của biểu thức:
![]()