Giao diện mới của VnDoc Pro: Dễ sử dụng hơn - chỉ tập trung vào lớp bạn quan tâm. Vui lòng chọn lớp mà bạn quan tâm: Lưu và trải nghiệm
Đóng
Điểm danh hàng ngày
  • Hôm nay +3
  • Ngày 2 +3
  • Ngày 3 +3
  • Ngày 4 +3
  • Ngày 5 +3
  • Ngày 6 +3
  • Ngày 7 +5
Bạn đã điểm danh Hôm nay và nhận 3 điểm!
Nhắn tin Zalo VNDOC để nhận tư vấn mua gói Thành viên hoặc tải tài liệu Hotline hỗ trợ: 0936 120 169

Đề thi học sinh giỏi lớp 9 THCS tỉnh Hòa Bình năm 2010 - 2011 môn Toán - Có đáp án

Lớp: Lớp 9
Dạng tài liệu: Đề thi HSG
Loại File: Word
Phân loại: Tài liệu Tính phí

SỞ GIÁO DỤC & ĐÀO TẠO
HÒA BÌNH

Đề thi chính thức

KỲ THI HỌC SINH GIỎI LỚP 9 THCS
NĂM HỌC 2010 - 2011
Môn thi: TOÁN

Thời gian làm bài: 150 phút
Ngày thi: 22/3/2011

Bài 1: (4 điểm)

1. Phân tích thành nhân tử các biểu thức sau:

a/ A = x3 + 3x2y - 4xy2 - 12y3 b/ B = x3 + 4y2 - 2xy + x2 + 8y2

2. Cho . Chứng minh rằng a là một số nguyên.

Bài 2: (6 điểm)

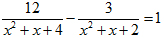
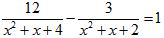
1. Giải phương trình:

2. Cho hàm số y = (m - 1)x + m2 - 1 (m: tham số). Tìm m để đồ thị hàm số là đường thẳng cắt hai trục toạ độ tại hai điểm A, B sao cho tam giác OAB cân.

3. Tìm x để biểu thức đạt giá trị nhỏ nhất.

Bài 3: (4 điểm)

1. Cho tam giác ABC nhọn nội tiếp trong đường tròn tâm O, có bán kính bằng 2. Biết góc BAC = 60o, đường cao AH = 3. Tính diện tích tam giác ABC.

2. Đội cờ vua của trường A thi đấu với đội cờ vua của trường B, mỗi đấu thủ của trường này thi đấu với mọi đấu thủ của trường kia một trận. Biết rằng tổng số trận đấu bằng bốn lần tổng số cầu thủ của cả hai đội và số cầu thủ của trường B là số lẻ. Tìm số cầu thủ của mỗi đội.

Bài 4: (5 điểm)

Cho nửa đường tròn tâm O bán kính R, đường kính AB. Hai điểm E, F thay đổi trên nửa đường tròn sao cho số đo cung AE khác không và nhỏ hơn số đo cung AF, biết EF = R . Giả sử AF cắt BE tại H, AE cắt BF tại I.

1. Chứng minh rằng tứ giác IEHF nội tiếp được trong một đường trũn.

2. Gọi EG và FQ là các đường cao của tam giác IEF, chứng minh rằng độ dài QG không đổi.

3. Chứng minh rằng QG song song với AB.

Bài 5: (1 điểm)

Giải phương trình:

Chọn file muốn tải về:
Đóng Chỉ thành viên VnDoc PRO/PROPLUS tải được nội dung này!
Đóng
79.000 / tháng
Đặc quyền các gói Thành viên
PRO
Phổ biến nhất
PRO+
Tải tài liệu Cao cấp 1 Lớp
30 lượt tải tài liệu
Xem nội dung bài viết
Trải nghiệm Không quảng cáo
Làm bài trắc nghiệm không giới hạn
Mua cả năm Tiết kiệm tới 48%

Có thể bạn quan tâm

Xác thực tài khoản!

Theo Nghị định 147/2024/ND-CP, bạn cần xác thực tài khoản trước khi sử dụng tính năng này. Chúng tôi sẽ gửi mã xác thực qua SMS hoặc Zalo tới số điện thoại mà bạn nhập dưới đây:

Số điện thoại chưa đúng định dạng!
Số điện thoại này đã được xác thực!
Bạn có thể dùng Sđt này đăng nhập tại đây!
Lỗi gửi SMS, liên hệ Admin
Sắp xếp theo
🖼️

Thi học sinh giỏi lớp 9

Xem thêm
🖼️

Gợi ý cho bạn

Xem thêm