Đề thi học sinh giỏi lớp 9 THCS tỉnh Kiên Giang năm 2013
SỞ GIÁO DỤC VÀ ĐÀO TẠO
|
KỲ THI CHỌN HỌC SINH GIỎI VÒNG TỈNH LỚP 9 THCS
|
MÔN THI: TOÁN (Thời gian: 150 phút)
Câu 1: (4 điểm)
a. Tìm m để hàm số y = (m2 - 2m)x + m2 - 1 nghịch biến và đồ thị của nó cắt trục tung tại điểm có tung độ bằng 3.
b. Tim giá trị nhỏ nhất của M = 5x2 + y2 + z2 - 4x - 2xy - z - 1
c. Cho x + y = -5 và x2 + y2 = 11. Tính x3 + y3
Câu 2: (4 điểm)
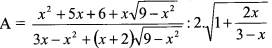
a. Rút gọn: ![]()
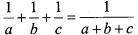
b. Cho a, b, c thỏa mãn ![]()
Tính giá trị biểu thức Q = (a27 + b27)(b41 + c41)(c2013 + a2013)
Câu 3: (4 điểm)
a. Giải phương trình: ![]()
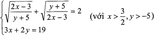
b. Giải hệ phương trình: 
Câu 4: (4 điểm)
Cho hình thang ABCD có đáy lớn là CD. Qua A vẽ AK // BC (K thuộc CD) và qua B kẻ BI // AD (I thuộc CD); BI cắt AC tại F, AK cắt BD tại E.
a. Chứng minh: KD = CI và EF // AB
b. Chứng minh AB2 = CD.EF
Câu 5: (4 điểm)
Cho tam giác đều ABC nội tiếp trong đường tròn (O; R). M là một điểm di động trên cung BC của đường tròn đó.
a. Chứng minh: MB + MC = MA
b. Xác định vị trí của điểm M để tổng MA + MB + MC đạt giá trị lớn nhất.
c. Gọi H, K, Q lần lượt là hình chiếu của M trên AB, BC, AC; đặt diện tích tam giác ABC là S và diện tích tam giác MBC là S'. Chứng minh rằng:
khi M di động trên cung BC.
MÔN THI: NGỮ VĂN (Thời gian: 150 phút)
Câu 1: (4,0 điểm)
Tai nạn giao thông xảy ra hiện nay ngày càng nhiều, gây thương tích, tàn phế và cướp đi sinh mạng của nhiều người, để lại gánh nặng cho gia đình và xã hội. Trình bày suy nghĩ của em về vấn đề trên (viết bài văn khoảng 01 trang giấy thi)
Câu 2: (4,0 điểm)
Giá trị của biện pháp tu từ được sử dụng trong đoạn thơ sau:
Mặt trời xuống biển như hòn lửa.
Sóng đã cài then, đêm sập cửa
Đoàn thuyền đánh cá lại ra khơi,
Câu hát căng buồm cùng gió khơi.
(Đoàn thuyền đánh cá, Huy Cận, Ngữ văn 9 tập 1)
Câu 3: (12 điểm)
Trong truyện ngắn Lặng lẽ Sa Pa, nhà văn Nguyễn Thành Long đã để cho ông họa sĩ nghĩ về anh thanh niên như sau:
Người con trai ấy đáng yêu thật, nhưng làm cho ông nhọc quá. Với những điều làm cho người ta suy nghĩ về anh. Và về những điều anh suy nghĩ trong cái vắng vẻ vòi vọi hai nghìn sáu trăm mét trên mặt biển, cuồn cuộn tuôn ra khi gặp người. Những điều suy nghĩ đúng đắn bao giờ cũng có những vang âm, khơi gợi bao điều suy nghĩ khác trong óc người khác, có sẵn mà chưa rõ hay chưa được đúng.
(Lặng lẽ Sa Pa, Nguyễn Thành Long, Ngữ văn lớp 9 tập 1)
Nêu rõ những điều anh suy nghĩ và những điều làm cho người ta suy nghĩ về anh trong truyện ngắn.