Đề thi học sinh giỏi lớp 9 THCS tỉnh Quảng Bình môn Toán (năm học 2010 - 2011)
|
SỞ GIÁO DỤC VÀ ĐÀO TẠO ĐỀ CHÍNH THỨC |
KỲ THI CHỌN HỌC SINH GIỎI CẤP TỈNH LỚP 9 THCS ĐỀ THI MÔN: TOÁN |
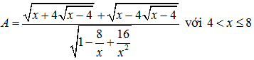
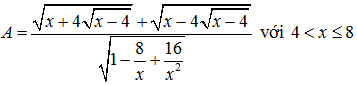
Câu 1: (2.5 điểm) Cho biểu thức

a) Rút gọn biểu thức A.
b) Tìm x nguyên để A có giá trị nguyên.
Câu 2: (2.5 điểm)
Số đo hai cạnh góc vuông của một tam giác là nghiệm của phương trình bậc hai (m - 2)x2 - 2(m - 1)x + m = 0. Xác định m để số đo đường cao ứng với cạnh huyền của tam giác đã cho là
Câu 3: (3.0 điểm)
Cho hai đường tròn (O) và (O’) cắt nhau tại hai điểm A và B. Tiếp tuyến chung gần B của hai đường tròn lần lượt tiếp xúc (O) và (O’) tại C và D. Qua A kẻ đường thẳng song song CD cắt (O) và (O’) lần lượt tại M và N. Các đường thẳng BC, BD lần lượt cắt MN tại P và Q. Các đường thẳng CM, DN cắt nhau tại E. Chứng minh rằng:
a) Các đường thẳng AE và CD vuông góc nhau.
b) Tam giác EPQ cân.
Câu 4: (1.0 điểm) Cho x, y, z > 0 thỏa mãn: x2 + y2 + z2 = 3. Chứng minh:

Câu 5: (1.0 điểm) Cho a, b, c, d là các số nguyên thỏa mãn: a5 + b5 = 4(c5 + d5)
Chứng minh rằng: a + b + c + d chia hết cho 5.