Đề thi học sinh giỏi lớp 9 THCS tỉnh Quảng Ninh năm 2012 - 2013
SỞ GIÁO DỤC VÀ ĐÀO TẠO
|
KỲ THI CHỌN HỌC SINH GIỎI CẤP TỈNH LỚP 9
|
ĐỀ THI MÔN: TOÁN (BẢNG A)
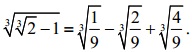
Bài 1. (4,5 điểm)
a) Chứng minh đẳng thức: 
b) Giải hệ phương trình: 
Bài 2. (3,5 điểm)
Cho hàm số bậc nhất y = mx + m - 1 (*) (với m là tham số).
a) Tìm các giá trị của m để đồ thị của hàm số (*) tạo với các trục tọa độ Oxy một tam giác có diện tích bằng 2.
b) Chứng minh rằng đồ thị của hàm số (*) luôn đi qua một điểm cố định với mọi giá trị của m.
Bài 3. (4,0 điểm)
Cho x, y, z là ba số thực dương thoả mãn xyz = 1. Tìm giá trị lớn nhất của biểu thức:![]()
Bài 4. (6,0 điểm)
Cho tam giác ABC có ba góc nhọn nội tiếp đường tròn tâm O. Gọi I là một điểm trên cung nhỏ AB (I không trùng với A và B). Gọi M,N, P theo thứ tự là hình chiếu của điểm I trên các đường thẳng BC, AC, AB.
a) Chứng minh rằng ba điểm M, N, P thẳng hàng.
b) Xác định vị trí của điểm I để đoạn thẳng MN có độ dài lớn nhất.
Bài 5. (2,0 điểm)
Giải phương trình sau: ![]()
ĐỀ THI MÔN: TOÁN (BẢNG B)
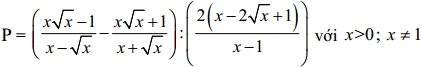
Câu 1. (4,0 điểm)
Cho biểu thức
a) Rút gọn biểu thức P.
b) Tìm x nguyên để P nhận giá trị nguyên.
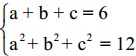
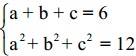
Câu 2. (4,0 điểm)
Cho ba số thực a, b, c thỏa mãn đồng thời: 
Tính giá trị của biểu thức P = (a - 3)2013 + (b - 3)2013 + (c - 3)2013.
Câu 3. (4,0 điểm)
Giải phương trình: ![]()
Câu 4. (6,0 điểm)
Cho đường tròn (O) và BC là một dây cung không đi qua tâm O. Điểm A bất kì nằm trên cung lớn BC của đường tròn (O) sao cho điểm O luôn nằm trong tam giác ABC (A ≠ B; C). Các đường cao AD, BE, CF cắt nhau tại H.
a) Chứng minh tứ giác BFEC nội tiếp.
b) Đường cao AD cắt đường tròn (O) tại I. Chứng minh I đối xứng với H qua BC.
c) Gọi M là trung điểm của BC. Chứng minh AH = 2OM.
Câu 5. (2,0 điểm)
Cho ba số thực dương x, y, z thỏa mãn ![]()
Tìm giá trị lớn nhất của biểu thức P = xyz.