Đề thi học sinh giỏi lớp 9 THCS tỉnh Thanh Hóa năm học 2011 - 2012 môn Toán (Có đáp án)
SỞ GIÁO DỤC VÀ ĐÀO TẠO
|
KỲTHI CHỌN HỌC SINH GIỎI LỚP 9 THCS
|
MÔN THI: TOÁN
Thời gian làm bài: 150 phút (không kể thời gian giao đề)
--------------------------------------------------------------------------------
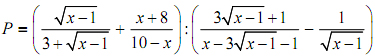
Câu I (4,0 điểm)
Cho biểu thức: 
1) Rút gọn P.
2) Tính giá trị của P khi 
Câu II (4,0 điểm)
Trong cùng một hệ toạ độ, cho đường thẳng d: y = x - 2 và parabol (P): y = - x2. Gọi A và B là giao điểm của d và (P).
1) Tính độ dài AB.
2) Tìm m để đường thẳng d': y = - x + m cắt (P) tại hai điểm C và D sao cho CD = AB.
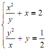
Câu III (4,0 điểm)
1) Giải hệ phương trình: 
2) Tìm nghiệm nguyên của phương trình 2x6 + y2 - 2x3y = 320
Câu IV (6,0 điểm)
Cho tam giác nhọn ABC có AB > AC. Gọi M là trung điểm của BC; H là trực tâm; AD, BE, CF là các đường cao của tam giác ABC. Kí hiệu (C1) và (C2) lần lượt là đường tròn ngoại tiếp tam giác AEF và DKE, với K là giao điểm của EF và BC. Chứng minh
rằng:
1) ME là tiếp tuyến chung của (C1) và (C1).
2) KH ⊥ AM.
Câu V (2,0 điểm)
Với 0 ≤ x, y, z ≤ 1. Tìm tất cả các nghiệm của phương trình:![]()