Đề thi học sinh giỏi lớp 9 THCS tỉnh Tiền Giang năm 2012 - 2013
SỞ GIÁO DỤC VÀ ĐÀO TẠO
|
KỲ THI CHỌN HỌC SINH GIỎI CẤP HUYỆN LỚP 9
|
ĐỀ THI MÔN: TOÁN
Bài 1. (6 điểm)
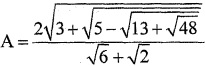
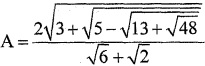
1. Chứng minh rằng
là một số nguyên
2. Tìm tất cả các số nguyên x thỏa mãn: ![]()
3. Giải hệ phương trình:
Bài 2. (6 điểm)
1. Cho biểu thức A = (x2 - 9x)2 + 28x2 - 252x + 2209. Với giá trị nào của x thì biểu thức A đạt giá trị nhỏ nhất. Tìm giá trị nhỏ nhất đó.
2. Trong mặt phẳng Oxy, cho đường thẳng (d) có phương trình (m - 4)x + (m - 3)y = 1 (m là tham số). Tìm m để khoảng cách từ gốc tọa độ đến đường thẳng (d) là lớn nhất.
Bài 3. (3 điểm)
Hai đội cờ thi đấu với nhau. Mỗi đấu thủ của đội này phải thi đấu một ván với tất cả đấu thủ của đội kia. Biết rằng tổng số ván cờ đã đấu bằng 4 lần tổng số đấu thủ của hai đội và biết rằng số đấu thủ của một trong hai đội là số lẻ. Hỏi mỗi đội có bao nhiêu đấu thủ?
Bài 4. (5 điểm)
Cho đường tròn tâm O bán kính R và một điểm P cố định trong đường tròn. Hai dây cung AC và BD thay đổi nhưng vuông góc với nhau tại P. Xác định vị trí của AC và BD sao cho diện tích của tứ giác ABCD lớn nhất.
ĐỀ THI MÔN: NGỮ VĂN
Câu 1. (12,0 điểm)
"Hãy đối xử với bạn bè như đối xử với những bức tranh, nghĩa là hãy đặt họ ở những góc độ có nhiều ánh sáng nhất."
(J. Churchil).
Em có suy nghĩ gì về ý kiến trên đây?
Câu 2. (8,0 điểm)
Em hãy phát hiện và nêu tác dụng của các biện pháp tu từ trong bài thơ "Tiếng thu" của Lưu Trọng Lư (không cần viết thành bài văn phân tích):
Em không nghe mùa thu
Dưới trăng mờ thổn thức?
Em không nghe rạo rực
Hình ảnh kẻ chinh phu
Trong lòng người cô phụ?
Em không nghe rừng thu,
Lá thu kêu xào xạc,
Con nai vàng ngơ ngác
Đạp trên lá vàng khô?