Đề thi học sinh giỏi môn Toán lớp 9 Sở GD&ĐT Nghệ An năm học 2015 - 2016 bảng A
Đề thi học sinh giỏi cấp tỉnh môn Toán lớp 9
Đề thi học sinh giỏi môn Toán lớp 9 Sở GD&ĐT Nghệ An năm học 2015 - 2016 bảng A. Đề thi gồm có 3 câu hỏi đại số và 2 câu hỏi hình học với thời gian làm bài là 150 phút. Phần đáp án cùng thang điểm chi tiết đã được VnDoc.com cập nhật đầy đủ và chính xác. Mời các bạn cùng tham khảo.
Đề thi học sinh giỏi môn Toán lớp 9 Phòng GD&ĐT Phù Ninh, Phú Thọ năm học 2016 - 2017
| SỞ GD&ĐT NGHỆ AN | KỲ THI CHỌN HỌC SINH GIỎI TỈNH LỚP 9 CẤP THCS NĂM HỌC 2015 – 2016 Môn thi: TOÁN - BẢNG A Thời gian: 150 phút (không kể thời gian giao đề) |
Câu 1. (3,0 điểm)
a. Chia 18 vật có khối lượng 20162; 20152; 20142; ...; 19992 gam thành ba nhóm có khối lượng bằng nhau. (không được chia nhỏ các vật đó).
b. Tìm nghiệm nguyên dương của phương trình: 3x + 171 = y2
Câu 2. (6,0 điểm)
a. Giải phương trình: ![]()
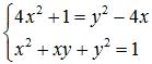
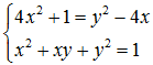
b. Giải hệ phương trình: 
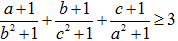
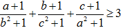
Câu 3. (3,0 điểm)
Cho a, b, c > 0 thỏa mãn a + b + c = 3. Chứng minh rằng: ![]()
Câu 4. (6,0 điểm)
Từ điểm M nằm ngoài đường tròn tâm (O; R). Vẽ hai tiếp tuyến MA, MB với đường tròn (A, B là các tiếp điểm), cát tuyến MPQ không đi qua O (P nằm giữa M, Q). Gọi H là giao điểm của OM và AB.
a. Chứng minh: ![]()
b. Tìm điểm E thuộc cung lớn AB sao cho tổng
có giá trị nhỏ nhất.
Câu 5. (2,0 điểm)
Tìm hình vuông có kích thước nhỏ nhất để trong hình vuông đó có thể sắp xếp được 5 hình tròn có bán kính bằng 1 sao cho không có hai hình tròn bất kì nào trong chúng có điểm trong chung.
ĐÁP ÁN ĐỀ THI HỌC SINH GIỎI CẤP TỈNH MÔN TOÁN LỚP 9






