Đề thi học sinh giỏi thành phố Đà Nẵng môn Toán lớp 12 năm học 2010 - 2011 (Có đáp án)
Để chuẩn bị cho kỳ thi chọn học sinh giỏi, Vndoc.com xin giới thiệu đến các bạn: Đề thi học sinh giỏi thành phố Đà Nẵng môn Toán lớp 12 năm học 2010 - 2011 (Có đáp án).
Đề thi học sinh giỏi môn Toán:
| SỞ GIÁO DỤC VÀ ĐÀO TẠO THÀNH PHỐ ĐÀ NẴNG (Đề thi chính thức) |
KỲ THI CHỌN HỌC SINH GIỎI LỚP 12 NĂM HỌC: 2010 - 2011 Môn: TOÁN Thời gian: 180 phút (không kể thời gian giao đề) |
Câu I (2,0 điểm):
Với mỗi tham số m thuộc R, gọi (Cm) là đồ thị của hàm số: y = x3 - (3m -1)x2 + 2m(m-1)x + m2 (1)
1) Khảo sát sự biến thiên và vẽ đồ thị (C1) của hàm số (1) khi m = 1
2) Chứng minh rằng: khi m thay đổi, đường thẳng (dm): y = mx - m2 luôn cắt (Cm) tại một điểm A có hoành độ không đổi. Tìm m để (dm) còn cắt (Cm) tại hai điểm nữa khác A, mà các tiếp tuyến của (Cm) tại hai điểm đó song song với nhau.
Câu II (2,0 điểm):
1) Giải phương trình lượng giác: 
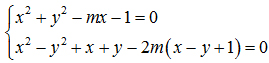
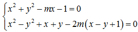
2) Tìm tất cả các giá trị của m để hệ phương trình sau có bốn nghiệm phân biệt:

Câu III (1,0 điểm):
Tìm nguyên hàm của hàm số f(x) = coslnx
Câu IV (1,0 điểm):
Cho khối lăng trụ ABC.A'B'C'. Một mặt phẳng (α) di động nhưng luôn đi qua điểm song song với đường thẳng và chia khối lăng trụ đã cho thành hai phần. Hãy xác định vị trí của (α) để hai phần đó có thể tích bằng nhau.
Câu V (1,0 điểm):
Tìm hằng số C lớn nhất để ex + y ≥ Cxy với mọi cặp số thực dương x và y.
Câu VI (2,0 điểm):
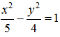
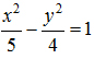
1) Trên mặt phẳng tọa độ Oxy, cho (E) là một elip di động nhưng luôn nhận hai tiêu điểm của hypebol (H):
làm các tiêu điểm và luôn có điểm chung với đường thẳng (d): x - y + 6 = 0. Tìm giá trị bé nhất của độ dài trục lớn của elip (E).
2) Tìm số hạng x7 chứa trong khai triển thành đa thức của (1 + x + x2 + x3)10
Câu VII (1,0 điểm):
Cho ba số dương x, y, z thay đổi và thỏa điều kiện x + y + z = 3. Tìm giá trị nhỏ nhất của biểu thức P = x4 + y4 + 8z4