Giao diện mới của VnDoc Pro: Dễ sử dụng hơn - chỉ tập trung vào lớp bạn quan tâm. Vui lòng chọn lớp mà bạn quan tâm: Lưu và trải nghiệm
Đóng
Điểm danh hàng ngày
  • Hôm nay +3
  • Ngày 2 +3
  • Ngày 3 +3
  • Ngày 4 +3
  • Ngày 5 +3
  • Ngày 6 +3
  • Ngày 7 +5
Bạn đã điểm danh Hôm nay và nhận 3 điểm!
Nhắn tin Zalo VNDOC để nhận tư vấn mua gói Thành viên hoặc tải tài liệu Hotline hỗ trợ: 0936 120 169

Đề thi học sinh giỏi tỉnh Bạc Liêu môn Toán lớp 10 (Năm học 2010 - 2011) - Có đáp án

Lớp: Lớp 10
Dạng tài liệu: Đề thi HSG
Loại File: PDF
Phân loại: Tài liệu Tính phí

Vndoc.com xin gửi đến các bạn: Đề thi học sinh giỏi tỉnh Bạc Liêu môn Toán lớp 10 (Năm học 2010 - 2011) - Có đáp án.

Đề thi học sinh giỏi môn Toán:

SỞ GIÁO DỤC VÀ ĐÀO TẠO
BẠC LIÊU
(Đề thi chính thức)

KỲ THI CHỌN HỌC SINH GIỎI VÒNG TỈNH LỚP 10, 11
NĂM HỌC: 2010 - 2011

MÔN THI: TOÁN - LỚP 10
(Thời gian làm bài 180 phút không kể thời gian giao đề)
--------------------------------------------------------------------------------


Câu 1: (4 điểm)

Hãy tìm tất cả các số để khi thêm vào tích sau ta được một số chia hết cho 2011.

A = (20112 - 1)2010.20102011

Câu 2: (4 điểm)

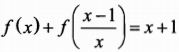
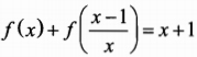
Tìm tất cả các hàm số f(x) xác định trên R thỏa mãn , với mọi x # 0, x # 1

Câu 3: (4 điểm)

Giải phương trình:

Câu 4: (4 điểm)

Cho ba số thực dương a, b, c thỏa mãn điều kiện . Tìm giá trị lớn nhất của biểu thức S = a + b + c

Câu 5: (4 điểm)

Cho tam giác đều ABC nội tiếp đường tròn (C) có tâm O và bán kính R. Chứng minh:

Chọn file muốn tải về:
Đóng Chỉ thành viên VnDoc PRO/PROPLUS tải được nội dung này!
Đóng
79.000 / tháng
Đặc quyền các gói Thành viên
PRO
Phổ biến nhất
PRO+
Tải tài liệu Cao cấp 1 Lớp
30 lượt tải tài liệu
Xem nội dung bài viết
Trải nghiệm Không quảng cáo
Làm bài trắc nghiệm không giới hạn
Mua cả năm Tiết kiệm tới 48%
1

Có thể bạn quan tâm

Xác thực tài khoản!

Theo Nghị định 147/2024/ND-CP, bạn cần xác thực tài khoản trước khi sử dụng tính năng này. Chúng tôi sẽ gửi mã xác thực qua SMS hoặc Zalo tới số điện thoại mà bạn nhập dưới đây:

Số điện thoại chưa đúng định dạng!
Số điện thoại này đã được xác thực!
Bạn có thể dùng Sđt này đăng nhập tại đây!
Lỗi gửi SMS, liên hệ Admin
Sắp xếp theo
🖼️

Thi học sinh giỏi lớp 10

Xem thêm
🖼️

Gợi ý cho bạn

Xem thêm