Đề thi học sinh giỏi tỉnh Bạc Liêu môn Toán lớp 11 (Năm học 2010 - 2011) - Có đáp án
SỞ GIÁO DỤC VÀ ĐÀO TẠO
|
KỲ THI CHỌN HỌC SINH GIỎI VÒNG TỈNH LỚP 10, 11
|
MÔN THI: TOÁN - LỚP 11
(Thời gian làm bài 180 phút không kể thời gian giao đề)
--------------------------------------------------------------------------------
Câu 1: (4 điểm)
Cho dãy số (un) có u1 = 2039; un+1 = un + 2n + 2011 (n ≥ 1).
Hãy tính tổng: Sn = u1 + u2 + u3 + ... + un
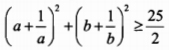
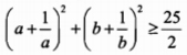
Câu 2: (4 điểm)
Cho hai số thực dương a, b thỏa mãn a + b = 1. Chứng minh:
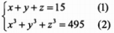
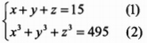
Câu 3: (4 điểm)
Tìm nghiệm nguyên dương của hệ phương trình:![]()
Câu 4: (4 điểm)
Giải phương trình: ![]()
Câu 5: (4 điểm)
Cho tứ diện ABCD, G là trọng tâm tam giác BCD. Một mặt phẳng (α) cắt các cạnh AB, AC, AD và AG lần lượt tại B', C', D', G'. Chứng minh rằng: ![]()