Đề thi học sinh giỏi tỉnh Long An lớp 12 vòng 1 năm 2012 - 2013 môn Toán (Bảng A)
Vndoc.com xin gửi đến các bạn: Đề thi học sinh giỏi tỉnh Long An lớp 12 vòng 1 năm 2012 - 2013 môn Toán (Bảng A).
Đề thi học sinh giỏi môn Toán:
SỞ GIÁO DỤC VÀ ĐÀO TẠO
|
KỲ THI CHỌN HỌC SINH GIỎI LỚP 12 VÒNG 1
|
Câu 1: (5,0 điểm)
a. Giải phương trình sau trên tập số thực: ![]()
b. Giải hệ phương trình sau trên tập số thực: 
Câu 2: (5,0 điểm)
a. Trong mặt phẳng với hệ trục tọa độ Oxy cho hai điểm A(1; 2), B(4; 3). Tìm trên trục hoành điểm M sao cho góc AMB = 45o
b. Cho tam giác ABC đều, cạnh bằng 6cm, trọng tâm là G. Một đường thẳng ∆ đi qua G, ∆ cắt các đoạn thẳng AB và AC lần lượt tại hai điểm M và Nsao cho 2AM = 3AN. Tính diện tích tam giác AMN.
Câu 3: (4,0 điểm)
Cho dãy số (un) được xác định bởi u1 = 1 và un+1 = un + 2n với mọi n ≥ 1
a. Chứng minh rằng: un = 2n - 1
b. Tính tổng S = u1 + u2 + u3 +... + un theo n.
Câu 4: (3,0 điểm)
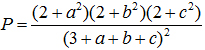
Cho các số thực dương a, b, c
a. Chứng minh rằng: ![]()
b. Tìm giá trị nhỏ nhất của biểu thức:
Câu 5: (3,0 điểm)
Cho hàm số
có đồ thị là (Cm), m là tham số. Tìm các giá trị của m để trên (Cm) có duy nhất một điểm có hoành độ âm mà tiếp tuyến của (Cm) tại điểm đó vuông góc với đường thẳng d: x + 2y = 0