Đề thi học sinh giỏi tỉnh Long An lớp 12 vòng 2 năm 2011 - 2012 môn Tin học
Vndoc.com xin giới thiệu đến các bạn: Đề thi học sinh giỏi tỉnh Long An lớp 12 vòng 2 năm 2011 - 2012 môn Tin học.
Đề thi học sinh giỏi môn Tin học:
SỞ GIÁO DỤC VÀ ĐÀO TẠO
|
KỲ THI CHỌN HỌC SINH GIỎI LỚP 12 VÒNG II
|
Câu 1: (6 điểm) DAYSO.PAS
Cho dãy số nguyên A gồm n phần tử a1, a2, .., an, tìm số cặp chỉ số (i, j) thỏa mãn:
S= ai+ai+1+ai+2+… + aj-1+aj đạt giá trị lớn nhất (với 1 ≤ i < j ≤ n).
Dữ liệu: Vào từ file văn bản DAYSO.INP
- Dòng đầu là số nguyên dương n (2 ≤ n ≤ 105)
- Dòng tiếp theo chứa n số nguyên a1, a2, .., an (|ai|<109), các số cách nhau một dấu cách.
Kết quả: Đưa ra file văn bản DAYSO.OUT
- Gồm một dòng chứa 2 số nguyên là S lớn nhất tìm được và số cặp chỉ số (i,j) thỏa mãn (hai số cách nhau một dấu cách).
Câu 2: (7điểm) LAUDAI.PAS
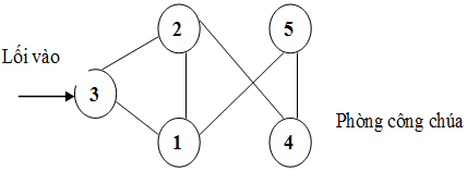
Splendid, vua xứ Byteotia muốn cho cô con gái xinh đẹp của mình – công chúa Ada xuất giá. Ông hỏi con gái muốn người chông của mình phải thế nào. Công chúa trả lời là chồng tương lai phải là một người thông minh, đồng thời không hoang phí cũng như không keo kiệt bủn xỉn. Nhà vua suy nghĩ khá lâu về cách kiểm tra để chọn cho công chúa người tốt nhất. Cuối cùng ông thấy hay nhất là sử dụng lâu đài của mình để tổ chức tiếp đãi mọi cư dân của Byteotia. Lâu đài có rất nhiều phòng, trong đó trưng bày các báu vật quốc gia. Theo các hành lang trong lâu đài, người ta có thể ghé vào phòng này hay phòng khác, ngắm nhìn các hiện vật độc đáo trưng bày, mang lại những kinh ngạc thích thú cho người xem. Để ghé vào mỗi phòng, người tham quan phải trả một số Bytealer (đơn vị tiền tệ của Byteotia). Cuộc tham quan bắt đầu từ phòng có cửa vào lâu đài.
Nhà vua trao cho mỗi người trong diện có thể chọn làm phò mã một túi tiền, với một số lượng Bytealer như nhau. Nhà vua yêu cầu mỗi người tự chọn đường đi tham quan, bắt đầu từ phòng vào lâu đài và kết thúc ở phòng công chúa ngồi. Mỗi người được yêu cầu chi hết đúng số tiền trong túi được trao. Những người hoang phí chi quá nhiều cho việc ghé xem các phòng trưng bày và hết tiền trước khi đến được phòng công chúa. Ngược lại, những người keo kiệt tới phòng công chúa với túi vẫn còn tiền, kết quả là bị công chúa đuổi ra ngoài sau khi thu hết số tiền dư trong túi.

Thật không may là vẫn chưa có chàng trai nào hoàn hành nhiệm vụ nhà vua đã trao và công chúa vẫn phải trông chờ, hy vọng một khi nào đó sẽ có kết cục tốt đẹp. Tại sao bạn lại không thử vận may của mình xem sao? Bạn có thể lập trình để trợ giúp cho nàng công chúa tội nghiệp ấy.
Yêu cầu: Chỉ ra dãy phòng cần ghé xem trên đường đi tới phòng công chúa và tiêu hết đúng số tiền trong túi được trao. Dữ liệu vào đảm bảo có lời giải. Nếu có nhiều lời giải thì chỉ cần nêu một trong số đó.
Dữ liệu: Vào từ file văn bản CASTLE.INP:
- Dòng đầu tiên có 5 số nguyên n, m, e, p, b, 1≤n≤100, 1≤m≤4950, 1≤e,p≤n, 1≤b≤1000, trong đó n - số phòng, m - số hành lang, các phòng được đánh số từ 1 đến n, e – phòng vào lâu đài, p- phòng có công chúa, b - số Bytealer trong túi;
- Dòng thứ 2 chứa n số nguyên dương c1, c2,..., cn, 1≤ci≤1000, ci - tiền cần trả để vào xem phòng i;
m dòng tiếp theo: mỗi dòng chứa một cặp số nguyên dương x, y, (x<>y, 1≤x,y≤n),cho biết có hành lang nối 2 phòng x và y.
- Các số trên một dòng các nhau ít nhất một dấu cách.
Kết quả: Đưa ra file văn bản CASTLE.OUT dãy số nguyên xác định các phòng cần ghé từ, đi từ e đến p.
Câu 3: (7 điểm) CHIEUSANG.PAS
Một đoạn đường thẳng có N trạm, người ta muốn đặt các đèn tại một số trạm để có thể chiếu sáng được tất cả các trạm. Trên thị trường có M loại đèn, loại thứ i có giá là Ti và có khả năng chiếu sáng với bán kính Ri. Một trạm được đặt đèn i thì nó có khả năng chiếu sáng cho chính nó và các trạm ở bên trái và bên phải nếu khoảng cách từ trạm đặt đèn tới các trạm bên trái và bên phải nhỏ hơn hoặc bằng Ri.
Công việc của bạn là lập trình tìm cách mua các đèn và đặt vào một số trạm để cho tất cả các trạm đều được chiếu sáng với ít tiền nhất.
Dữ liệu: Vào từ file văn bản CHIEUSANG.INP có dạng:
- Dòng thứ nhất là hai số N, M (N ≤ 10000, M ≤ 10).
- Dòng thứ 2 chứa 2 nguyên là giá tiền và khả năng chiếu sáng của đèn thứ 1,…, dòng thứ M+1 là giá tiền và khả năng chiếu sáng của đèn thứ M. Như vậy M dòng kế tiếp, mỗi dòng chứa hai số nguyên dương. Dòng thứ i+1 là giá tiền Ti và khả năng chiếu sáng Ri của đèn thứ i. (Ti ≤ 30000, Ri ≤ 109).
- Dòng thứ M+2 có một số nguyên dương - là toạ độ của trạm thứ 1,…, dòng thứ M+N+1 có một số nguyên dương – là toạ độ của trạm thứ N. Như vậy, N dòng tiếp theo, mỗi dòng một số nguyên dương mô tả vị trí (toạ độ) của N trạm. Dòng thứ i+M+1 chứa giá trị di là toạ độ của trạm thứ i (0 ≤ di ≤ 109).
Kết quả: Đưa ra file văn bản CHIEUSANG.OUT có dạng:
- Dòng thứ nhất gồm hai số nguyên: số thứ nhất là số tiền ít nhất và số thứ 2 là số đèn W cần dựng.
- W dòng tiếp theo, mỗi dòng hai số là tên trạm và loại đèn đặt tại trạm đó.