Đề thi học sinh giỏi tỉnh lớp 12 THPT tỉnh An Giang năm 2012 - 2013 môn Toán
Vndoc.com xin giới thiệu đến các bạn: Đề thi học sinh giỏi tỉnh lớp 12 THPT tỉnh An Giang năm 2012 - 2013 môn Toán.
Đề thi học sinh giỏi môn Toán:
SỞ GIÁO DỤC VÀ ĐÀO TẠO
|
KỲ THI CHỌN HỌC SINH GIỎI CẤP TỈNH
|
Bài 1: (3,0 điểm).
Cho hàm số y = x3 + 3mx (m là tham số)
Tìm m để đồ thị hàm số có hai điểm cực đại và cực tiểu lần lượt là A và B đồng thời tam giác cân tại C với C(-4; -2).
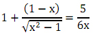
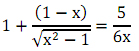
Bài 2: (3,0 điểm)
Giải phương trình: 
Bài 3: (3,0 điểm)
Tìm giá trị lớn nhất và giá trị nhỏ nhất của hàm số: ![]()
Bài 4: (4,0 điểm)
Tìm số các nghiệm nguyên dương của phương trình: x + y + z = 2012
Trong số các nghiệm này có bao nhiêu nghiệm (xo; yo; zo) trong đó xo; yo; zo đôi một khác nhau.
Bài 5: (3,0 điểm)
Tìm tọa độ các đỉnh của một hình thang cân ABCD biết rằng CD = 2AB, phương trình hai đường chéo AC = x + y - 4 = 0; BD = x - y - 2 = 0, các tọa độ hai điểm A, B đều dương và hình thang có diện tích bằng 36.
Bài 6: (4,0 điểm)
Cho hình chóp đều S.ABCD có cạnh bên bằng a, góc hợp bởi đường cao SH của hình chóp và mặt bên bằng α, cho a cố định, α thay đổi. Tìm α để thể tích khối chóp S.ABCD là lớn nhất.
(Cho biết: √2 ~ 1,4142; √3 ~ 1,7321)