Đề thi học sinh giỏi TP Hồ Chí Minh lớp 12 THPT năm 2012 - 2013 môn Toán (vòng 2)
Để chuẩn bị cho kỳ thi chọn học sinh giỏi, Vndoc.com xin giới thiệu đến các bạn: Đề thi học sinh giỏi TP Hồ Chí Minh lớp 12 THPT năm 2012 - 2013 môn Toán (vòng 2).
Đề thi học sinh giỏi môn Toán:
SỞ GIÁO DỤC VÀ ĐÀO TẠO
|
KỲ THI CHỌN ĐỘI TUYỂN HỌC SINH GIỎI
|
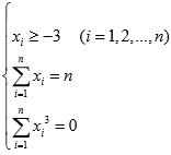
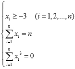
Bài 1. (4 điểm)
Cho số nguyên dương n. Giải và biện luận theo n hệ phương trình sau:

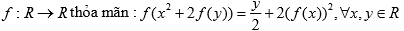
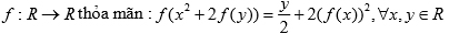
Bài 2. (4 điểm)
Tìm tất cả các hàm số ![]()
Bài 3. (4 điểm)
Giả sử số nguyên dương n có tất cả k ước dương là d1, d2, dk. Chứng minh rằng nếu d1 + d2 + ... + dk + k = 2n + 1 thì n/2 là số chính phương.
Bài 4. (4 điểm)
Cho ba đường tròn (C), (C1), (C2) trong đó (C1) và (C2) tiếp xúc trong với (C) tại B, C và (C1), (C2) tiếp xúc ngoài với nhau tại D. Tiếp tuyến chung trong của (C1) và (C2) cắt (C) tại hai điểm A và E. Đường thẳng AB cắt (C1) tại điểm thứ hai M đường thẳng AC cắt (C2) tại điểm thứ hai N. Chứng minh rằng:![]()
Bài 5. (4 điểm)
Cho một bảng ô vuông có 2012 x 2012 ô, mỗi ô đều điền vào một dấu + . Thực hiện phép biến đổi sau: đổi dấu toàn bộ một hàng hoặc một cột của bảng (+ thành – , – thành +). Hỏi sau một số lần thực hiện phép biến đổi, bảng có thể có đúng 18 dấu – được hay không?