Giao diện mới của VnDoc Pro: Dễ sử dụng hơn - chỉ tập trung vào lớp bạn quan tâm. Vui lòng chọn lớp mà bạn quan tâm: Lưu và trải nghiệm
Đóng
Điểm danh hàng ngày
  • Hôm nay +3
  • Ngày 2 +3
  • Ngày 3 +3
  • Ngày 4 +3
  • Ngày 5 +3
  • Ngày 6 +3
  • Ngày 7 +5
Bạn đã điểm danh Hôm nay và nhận 3 điểm!
Nhắn tin Zalo VNDOC để nhận tư vấn mua gói Thành viên hoặc tải tài liệu Hotline hỗ trợ: 0936 120 169

Đề thi học sinh giỏi Văn hóa lớp 9 tỉnh Bắc Giang năm học 2012 - 2013 môn Toán - Có đáp án

Lớp: Lớp 9
Dạng tài liệu: Đề thi HSG
Loại File: Word
Phân loại: Tài liệu Tính phí

SỞ GIÁO DỤC VÀ ĐÀO TẠO
QUẢNG BÌNH
(Đề thi chính thức)

KỲ THI CHỌN HỌC SINH GIỎI VĂN HÓA CẤP TỈNH
NĂM HỌC 2012-2013
(Ngày thi: 30 tháng 3 năm 2013)

MÔN THI: TOÁN - LỚP 9
Thời gian làm bài: 150 phút (không kể thời gian giao đề)
--------------------------------------------------------------------------------

Câu 1. (5,0 điểm)

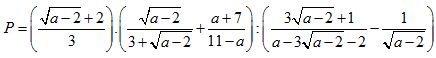
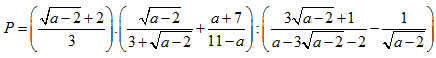
1) Tính giá trị của biểu thức .

2) Rút gọn biểu thức .

Câu 2. (4,0 điểm)

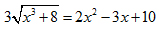
1) Giải phương trình: .

2) Giải hệ phương trình sau: .

Câu 3. (4,0 điểm)

1) Cho hàm số y = x2. Tìm các giá trị của m để đường thẳng Δ có phương trình y = x - m cắt đồ thị hàm số tại hai điểm phân biệt A(x1; x2), B(x2; y2) thoả mãn: (x2 - x1)4 + (y2 - y1)4 = 18.

2) Tìm tất cả các bộ ba số nguyên tố a, b, c đôi một khác nhau thoả mãn điều kiện 20abc < 30(ab + bc + ca) < 21abc

Câu 4. (6,0 điểm)

Cho tam giác ABC vuông tại A (AB<AC), có đường cao AH và O là trung điểm của cạnh BC. Đường tròn tâm I đường kính AH cắt AB, AC thứ tự tại M và N. OA và MN cắt nhau tại D.

1) Chứng minh tứ giác BMNC nội tiếp.

2) Chứng minh: .

3) Cho AB=3 và AC=4. Tính bán kính đường tròn ngoại tiếp tam giác BMN.

Câu 5. (1,0 điểm)

Cho ba số dương a, b và c thoả mãn abc = 1.

Chứng minh rằng:

Chọn file muốn tải về:
Đóng Chỉ thành viên VnDoc PRO/PROPLUS tải được nội dung này!
Đóng
79.000 / tháng
Đặc quyền các gói Thành viên
PRO
Phổ biến nhất
PRO+
Tải tài liệu Cao cấp 1 Lớp
30 lượt tải tài liệu
Xem nội dung bài viết
Trải nghiệm Không quảng cáo
Làm bài trắc nghiệm không giới hạn
Mua cả năm Tiết kiệm tới 48%

Có thể bạn quan tâm

Xác thực tài khoản!

Theo Nghị định 147/2024/ND-CP, bạn cần xác thực tài khoản trước khi sử dụng tính năng này. Chúng tôi sẽ gửi mã xác thực qua SMS hoặc Zalo tới số điện thoại mà bạn nhập dưới đây:

Số điện thoại chưa đúng định dạng!
Số điện thoại này đã được xác thực!
Bạn có thể dùng Sđt này đăng nhập tại đây!
Lỗi gửi SMS, liên hệ Admin
Sắp xếp theo
🖼️

Thi học sinh giỏi lớp 9

Xem thêm
🖼️

Gợi ý cho bạn

Xem thêm