Đề thi học sinh giỏi vòng 2 môn Toán lớp 8 trường THCS Ngải Tứ, Vĩnh Long năm 2014 - 2015
Đề thi học sinh giỏi vòng 2 môn Toán lớp 8
Đề thi học sinh giỏi vòng 2 môn Toán lớp 8 trường THCS Ngải Tứ, Vĩnh Long năm 2014 - 2015 giúp các bạn học sinh ôn thi học sinh giỏi môn Toán, chuẩn bị cho kì thi học sinh giỏi cấp huyện, cấp thành phố, ôn thi vào lớp 10 các trường chuyên trong cả nước. Mời các bạn tải đề thi học sinh giỏi lớp 9 này về và cùng tham khảo.
Đề thi học sinh giỏi môn Ngữ Văn lớp 8 năm 2015 huyện Hoằng Hóa, Thanh Hóa
TRƯỜNG THCS NGÃI TỨ
ĐỀ THI HỌC SINH GIỎI
MÔN: TOÁN 8
Năm: 2014 - 2015
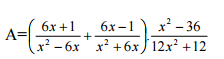
Câu 1: (5đ) Cho biểu thức:

a) Tìm điều kiện xác định của A
b) Rút gọn biểu thức A
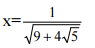
c) Tính giá trị biểu thức A với
![]()
Câu 2: (4đ)
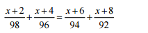
a) Giải phương trình:
![]()
b) Phân tích thành nhân tử (x + y + z) 3 – x3 – y3 – z3.
Câu 3: (4đ)
1) Chứng minh rằng: 85 + 211 chia hết cho 17
2) Chứng minh rằng nếu a + b + c = 0 thì a3 + b3 + c3 = 3abc
Câu 4: (2đ) Cho đa thức P(x) = x2 + bx + c, trong đó b và c là các số nguyên.
Biết rằng đa thức x4 + 6x2 + 25 và 3x4 + 4x2 + 28x + 5 đều chia hết cho P(x). Tính P(1)
Câu 5: (5đ) Cho hình vuông ABCD. M là một điểm trên đường chéo BD. Kẻ ME và MF vuông góc với AB và AD.
a) Chứng minh hai đoạn thẳng DE và CF bằng nhau và vuông góc với nhau.
b) Chứng minh ba đường thẳng DE, BF và CM đồng quy.
c) Xác định vị trí của điểm M để tứ giác AEMF có diện tích lớn nhất.