Đề thi học sinh giỏi giải toán Máy tính cầm tay lớp 9 tỉnh An Giang năm học 2012 - 2013
SỞ GIÁO DỤC VÀ ĐÀO TẠO
|
ĐỀ THI CHỌN HỌC SINH GIỎI CẤP TỈNH
|
MÔN THI: TOÁN
Bài 1: (2,0 điểm)
Tính:
Bài 2: (2,0 điểm)
Tính tổng:![]()
Bài 3: (2,0 điểm)
Tìm ước chung lớn nhất và Bội chung nhỏ nhất của hai số: a = 121212; b = 181818
Bài 4: (2,0 điểm)
Tính giá trị của A = (3x3 + 8x2 + 2)10 với![]()
Bài 5: (2,0 điểm)
Tìm bốn chữ số cuối cùng của số: a = 52013
Bài 6: (2,0 điểm)
Tìm tất cả các cặp nghiệm nguyên của phương trình: (x - 2)(y + 1) = 8
Bài 7: (2,0 điểm)
Hình thang cân ABCD có hai đáy là AB và CD, cho AB = BC = 1/2CD. Tính gần đúng chu vi và diện tích hình thang biết AC = 4cm.

Bài 8: (2,0 điểm)
Cho bốn đường thẳng d1: y = -2x + 8; d2: y = -2x - 2; d3: y = 1/2x + 3; d4: y = 1/2x - 2. Bốn đường thẳng trên cắt nhau tại bốn điểm A; B; C; D.
a) Tìm tọa độ các điểm A; B; C; D.
b) Tính diện tích tứ giác tạo bởi bốn đường thẳng trên.
Bài 9: (2,0 điểm)
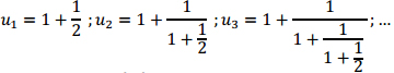
Cho dãy số (un) có các số hạng:

a) Tính u10 (dạng phân số tối giản)
b) Tính gần đúng S = u1 + u2 + ... + u20
Bài 10 (2,0 điểm)
Cho hình vuông ABCD có cạnh 28cm. Vẽ nửa đường tròn đường kính hai góc phần tư đường tròn tâm A và B bán kính AB nằm trong hình vuông (hình vẽ). Tính hiệu diện tích hai hình 1 và 3.
