Đề thi học sinh giỏi giải toán Máy tính Casio lớp 12 tỉnh Kiên Giang năm học 2011 - 2012
Vndoc.com xin giới thiệu đến các bạn: Đề thi học sinh giỏi giải toán Máy tính Casio lớp 12 tỉnh Kiên Giang năm học 2011 - 2012.
Đề thi học sinh giỏi môn Toán:
SỞ GIÁO DỤC VÀ ĐÀO TẠO
|
KỲTHI HỌC SINH GIỎI CẤP TỈNH GIẢI TOÁN TRÊN MÁY TÍNH CASIO
|
MÔN THI: TOÁN (Thời gian: 150 phút)
Câu 1.
Giải hệ phương trình: ![]()
Câu 2.
Tìm phương trình hàm số: y = ax3 + bx2 + cx + d (đồ thị (C)) biết hàm sốcó 1 cực trị trùng vào đỉnh của (P): y = √2.x2 - 4x + 1; (C) đi qua M(-2, 1) và có hoành độ tâm đối xứng: x = - √3
Câu 3.
Cho phương trình: ![]()
1/ Giải hệ (1) khi m=4.
2/ Với giá trị nào của m thì (1) có đúng 2 nghiệm thuộc [1; e].
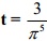
Câu 4.
Cho hình chóp tứ giác S.ABCD có đáy là hình vuông cạnh bằng t, SA = t√3, SA vuông góc với (ABCD); gọi I thuộc SB sao cho SI = x; mặt phẳng (ADI) cắt SC tại J. Xác định x để diện tích ADIJ là nhỏ nhất. Tính diện tích ADIJ khi ![]()
Câu 5.
Tìm nghiệm gần đúng của phương trình: 2sinx + 4cosx + cos2x = 5
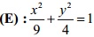
Câu 6.
Tìm toạ độ gần đúng của giao điểm giữa elip
với đường thẳng (d) đi qua 2 điểm A(√2; 1); B(-1; 2)
Câu 7.
Cho 2 hàm số: ![]()
Tìm những giá trị m thuộc (0;3) thỏa: f(f(1)) = g(f(0))
Câu 8.
1/ Tính u2011 biết un = cos(111 - cos(111 - cos(111...))) (lấy 4 chữ số thập phân)
2/ Một người dự định xây căn nhà 900.000.000đ, hiện nay chỉ có 600.000.000đ gởi vào ngân hàng theo thể thức lãi kép kỳ hạn 1 năm với lãi suất 14%/năm. Hỏi trong bao lâu người đó sẽ thực hiện được dự định của mình? (lấy 1 chữ số thập phân)
Câu 9.
Trong mặt phẳng (Oxy) cho điểm M(0, 2√3) và đường thẳng (d): x - 3y + 3 = 0. Tìm 2 điểm P, Q thuộc (d) sao cho tam giác MPQ vuông tại P và 3MP = PQ
Câu 10.
Một khu quy hoạch dân cư hình tứ giác ABCD biết AD = a; AB = b; BC = c,
. Tính diện tích khu vườn theo a, b, c, α, β
Vận dụng: Tính diện tích khu dân cư khi a = 6,7km; b = 5,6km; c = 4,5km; α = 56o, β = 78o.
MÔN THI: SINH HỌC (Thời gian: 150 phút)
Câu 1:
Có 5 tế bào sinh dục sơ khai phân bào liên tiếp với số lần như nhau ở vùng sinh sản, môi trường cung cấp 1500 nhiểm sắc thể đơn. Tất cả các tế bào con đều qua vùng sinh trưởng và đến vùng chín giảm phân tạo giao tử đã đòi hỏi môi trường tế bào cung cấp thêm 1600 nhiễm sắc thể đơn. Hiệu suất thụ tinh của các giao tử này là 5% và tạo ra 16 hợp tử. Biết không có hiện tượng
trao đổi chéo xảy ra trong giảm phân.
a. Hãy xác định bộ nhiễm sắc thể 2n của loài.
b. Tế bào sinh dục sơ khai trên là đực hay cái?
Câu 2:
Sự sinh trưởng của một chủng vi sinh vật thể hiện ở bảng sau:

a. Hãy cho biết thời gian thế hệ(g) của chủng vi sinh vật trên?
b. Giả sử, cấy một lượng khoảng 100 tế bào vi sinh vật trên vào môi trường dinh dưỡng thích hợp.
- Sau 3 giờ số lượng tế bào thu được là bao nhiêu?
- Muốn thu được 102400 tế bào thì cần phải nuôi trong thời gian bao lâu?
Câu 3:
a. Tính lượng phân bón nitơ cần bón cho 5 ha ruộng lúa để có năng suất thu hoạch là 15 tấn chất khô/ha. Biết nhu cầu dinh dưỡng đối với nitơ là 14 gam/kg chất khô, khảnăng cung cấp chất dinh dưỡng của đất bằng 0. Hệ số sử dụng phân bón là 60%.
b. Tính hệ số hô hấp (RQ) khi sửdụng nguyên liệu hô hấp là: C6H12O6 (glucôzơ); C2H2O4 (Axit ôxalic); C18H36O2 (axit stêaric).
Câu 4:
Nhịp tim của ngựa 40 lần/phút. Nếu cho rằng thời gian các pha của chu kì tim tương tự như ở người thì thời gian nghỉ ngơi của tâm nhĩ, tâm thất là bao nhiêu?
Câu 5:
Nghiên cứu hai gen cấu trúc I và II ở E. coli có cùng chiều dài, người ta thấy tỷ lệ% ađênin của gen I và tỷ lệ% guanin của gen II đều bằng 20%. Khi cả 2 gen tự nhân đôi 1 lần đã phá hủy 7500 liên kết hyđrô.
a. Tính số lượng nuclêôtit tự do mỗi loại môi trường đã cung cấp cho quá trình tự nhân đôi của cả 2 gen trên.
b. Nếu tất cả các gen tạo thành đều phiên mã 5 lần tạo mARN. Trên mỗi mARN đều có 10 ribôxôm trượt qua không lặp lại thì trong toàn bộ quá trình dịch mã môi trường phải cung cấp bao nhiêu axit amin? Được biết, vùng điều hòa và vùng kết thúc ở mỗi gen đều có 150 cặp nuclêôtit.
Câu 6:
Gen D dài 0,204μm, có tổng bình phương 2 loại không bổ sung là 14,5% (cho biết A < G). Do một tác nhân gây đột biến đã làm cho gen D mất một cặp (A - T). Xác định số nuclêôtit mỗi loại có trong gen sau đột biến.
Câu 7:
Ở một loài thực vật, gen quy định màu hạt có 3 alen theo thứ tự trội hoàn toàn là T (hạt đen) > t (hạt xám) > t1 (hạt trắng). Cho biết hạt phấn dạng (n + 1) không có khả năng thụ tinh, còn các giao từ khác thụ tinh bình thường. Xác định tỉ lệ mỗi loại kiểu hình thu được ở F1 của mỗi trường hợp sau:
a. Cho cây mang thể ba có kiểu gen Ttt1 tự thụ phấn.
b. Cho cây mang thể ba kiểu gen Ttt1 thụphấn cho cây mang thể ba kiểu gen Tt1t1. (không yêu cầu lập bảng sơ đồ lai).
Câu 8:
Trong phép lai giữa hai cá thể (P) có kiểu gen sau: ♀AaBbDdEe x ♂aabbDdEe. Các cặp gen quy định các tính trạng khác nhau nằm trên các cặp NST tương đồng khác nhau và các gen đều trội hoàn toàn, chỉ có cặp gen Ee là trội không hoàn toàn.
a. Tỉ lệ kiều gen mang 2 alen trội ở F1?
b. Tính theo lí thuyết, tỉ lệ% số cá thể ở F1 có kiểu hình khác bố mẹ là bao nhiêu? (không yêu cầu viết sơ đồ lai).
Câu 9:
Ở một loài thực vật cho biết: Gen A quy định thân cao, a quy định thân thấp. Gen B quy định hoa đỏ, b quy định hoa vàng. Gen D quy định quả tròn, d quy định quả bầu. Ba cặp gen này nằm trên 2 cặp NST tương đồng, trong đó các gen quy định màu hoa và hình dạng quả cùng nằm trên một cặp NST tương đồng và có tần số trao đổi chéo là 20%. Đem hai thứ thuần chủng có thân cao, hoa đỏ, quả bầu và thân thấp, hoa vàng, quả tròn lai với nhau được F1. Cho F1 tự thụ phấn thu được F2. Tính theo lí thuyết tỷ lệ cây có thân cao, hoa đỏ, quả bầu thu được ở F2 là bao nhiêu? (không yêu cầu lập bảng sơ đồ lai).
Câu 10:
Chiều cao của một loài cây do 4 cặp gen alen tác động theo kiểu cộng gộp (A và a, B và b, D và d, E và e), chúng phân li độc lập. Cây đồng hợp lặn về cả 4 gen có chiều cao thấp nhất và chúng có chiều cao là 80cm. Cây đồng hợp trội về cả 4 gen có chiều cao cao nhất và chúng có chiều cao là 160cm. Cho cây dị hợp về tất cả các cặp gen tự thụ phấn. Xác định tỷ lệ mỗi loại kiểu hình thu được ở thế hệ lai: cây cao 90cm, cây cao 120cm, cây cao 140cm. (không yêu cầu viết sơ đồ lai).