Đề thi chọn học sinh giỏi giải toán trên máy tính Casio lớp 9 tỉnh Trà Vinh năm 2014
Đề thi chọn học sinh giỏi Môn Toán lớp 9
Đề thi chọn học sinh giỏi giải toán trên máy tính Casio lớp 9 tỉnh Trà Vinh năm 2014
|
SỞ GIÁO DỤC VÀ ĐÀO TẠO Đề chính thức |
KÌ THI CHỌN HỌC SINH GIỎI TỈNH Môn: Toán Lớp 9 Trung học cơ sở |
Bài 1 (5 điểm): Tính giá trị của biểu thức sau:

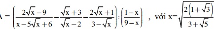
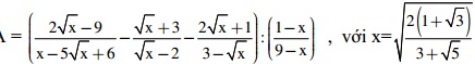
Bài 2 (5 điểm): Tính giá trị của biểu thức:

Bài 3 (5 điểm): Bốn đội máy cày gồm 36 máy làm việc trên bốn cánh đồng có diện tích bằng nhau. Đội I hoàn thành trong 4 ngày, đội II hoàn thành trong 6 ngày, đội III hoàn thành trong 10 ngày, đội IV hoàn thành trong 12 ngày. Giả sử năng suất của mỗi máy bằng nhau. Tính số máy của mỗi đội.
Bài 4 (5 điểm): Giải phương trình
|2x - 1| + |x + 3| + |5x + 7| = 12
Bài 5 (5 điểm): Giải phương trình:
![]()
Bài 6 (5 điểm):
Trong mặt phẳng Oxy, cho ba đường thẳng lần lượt có phương trình là: d1: y = 2x - 6; d2: y = -3x + 9; d3: y = x/2 + 3/2. Biết d1
cắt d2 tại A, d1 cắt d3 tại B, d2 cắt d3 tại C. Tính số đo các góc của tam giác ABC.
Bài 7 (5 điểm):
Tìm giá trị nhỏ nhất của biểu thức: A = 3x2 + 2x + 1
Bài 8 (5 điểm):
Cho tam giác ABC vuông ở A, biết BC = 8,916cm và AD là phân giác trong của góc A. Biết BD = 3,178cm. Tính AB, AC.
Bài 9 (5 điểm):
Cho hình thang cân có hai đường chéo vuông góc với nhau, đáy nhỏ dài 13,742cm, cạnh bên dài 21,867cm. Tính diện tích hình thang đó.
Bài 10 (5 điểm):
Cho hình thoi có cạnh bằng 241cm, chiều cao bằng 120cm. Tính các góc của hình thoi.