Giao diện mới của VnDoc Pro: Dễ sử dụng hơn - chỉ tập trung vào lớp bạn quan tâm. Vui lòng chọn lớp mà bạn quan tâm: Lưu và trải nghiệm
Đóng
Điểm danh hàng ngày
  • Hôm nay +3
  • Ngày 2 +3
  • Ngày 3 +3
  • Ngày 4 +3
  • Ngày 5 +3
  • Ngày 6 +3
  • Ngày 7 +5
Bạn đã điểm danh Hôm nay và nhận 3 điểm!
Nhắn tin Zalo VNDOC để nhận tư vấn mua gói Thành viên hoặc tải tài liệu Hotline hỗ trợ: 0936 120 169

Đề thi học sinh giỏi lớp 12 THPT tỉnh Vĩnh Long năm 2013 - 2014

Lớp: Lớp 12
Dạng tài liệu: Đề thi HSG
Loại File: ZIP
Phân loại: Tài liệu Tính phí

Nhằm giúp các bạn chuẩn bị thật tốt kiến thức để làm bài thi đạt hiệu quả cao, Vndoc.com xin giới thiệu: Đề thi học sinh giỏi lớp 12 THPT tỉnh Vĩnh Long năm 2013 - 2014.

Đề thi học sinh giỏi môn Toán:

SỞ GIÁO DỤC VÀ ĐÀO TẠO
VĨNH LONG

ĐỀ CHÍNH THỨC

KỲ THI CHỌN HỌC SINH GIỎI CẤP TỈNH THPT
NĂM HỌC 2013 - 2014

Ngày thi: 06/10/2013

ĐỀ THI MÔN TOÁN: BUỔI SÁNG

Bài 1. (6,0 điểm)

a) Cho hàm số Đề thi học sinh giỏi lớp 12 THPT tỉnh Vĩnh Long năm 2013 - 2014. Định m để đồ thị hàm số có hai điểm cực trị nằm về hai phía đối với trục tung.

b) Xác định m để hàm số: y = (m - 3)x - (2m + 1)cosx luôn nghịch biến trên ¡.

Bài 2. (3,0 điểm)

Trong mặt phẳng tọa độ Oxy cho hình vuông ABCD có đỉnh A(0;5) và một đường chéo nằm trên đường thẳng có phương trình 2x - y = 0. Tìm tọa độ các đỉnh B, C và D.

Bài 3. (3,0 điểm)

Tìm các giá trị của tham số m để phương trình: Đề thi học sinh giỏi lớp 12 THPT tỉnh Vĩnh Long năm 2013 - 2014có 2 nghiệm phân biệt.

Bài 4. (3,0 điểm)

Trong một quyển sách có 800 trang thì có bao nhiêu trang mà số trang có ít nhất một chữ số 5.

Bài 5. (2,5 điểm):

Giải phương trình: Đề thi học sinh giỏi lớp 12 THPT tỉnh Vĩnh Long năm 2013 - 2014

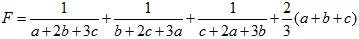
Bài 6. (2,5 điểm) Cho a, b, c là 3 số thực dương. Tìm giá trị nhỏ nhất của biểu thức:

ĐỀ THI MÔN TOÁN: BUỔI CHIỀU

Bài 1. (4,0 điểm)

Tìm tất cả các cặp số nguyên (x;y) thỏa mãn phương trình: x3 - y3 = 2xy + 8.

Bài 2. (4,0 điểm)

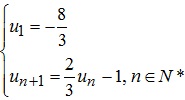
Cho dãy số (un): Đề thi học sinh giỏi lớp 12 THPT tỉnh Vĩnh Long năm 2013 - 2014 và dãy số (vn), vn = 2un + 6

a) Chứng minh (vn) là cấp số nhân

b) Tính limSn, trong đó Sn = u1 + u2 + ... + un

Bài 3. (3,0 điểm)

Cho a1, a2,..., an là n số nguyên thỏa:

a1 + a2 +... + an = p

a15 + a25 +... + an5 = q

Chứng minh rằng nếu p chia hết cho 30 thì q chia hết cho 30 và ngược lại.

Bài 4. (3,0 điểm)

Cho tam giác ABC đều. M là một điểm nằm trong tam giác đó sao cho tổng MA2 = MB2 + MC2. Tính góc BMC.

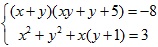
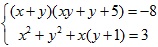
Bài 5. (3,5 điểm)

Giải hệ phương trình: Đề thi học sinh giỏi lớp 12 THPT tỉnh Vĩnh Long năm 2013 - 2014

Bài 6. (2,5 điểm)

Tìm đa thức P(x) với hệ số thực, thỏa mãn đẳng thức: (x3 + 3x2 + 3x + 2)P(x - 1) = (x3 - 3x2 + 3x - 2)P(x), với mọi x thuộc ¡

Chọn file muốn tải về:
Đóng Chỉ thành viên VnDoc PRO/PROPLUS tải được nội dung này!
Đóng
79.000 / tháng
Đặc quyền các gói Thành viên
PRO
Phổ biến nhất
PRO+
Tải tài liệu Cao cấp 1 Lớp
30 lượt tải tài liệu
Xem nội dung bài viết
Trải nghiệm Không quảng cáo
Làm bài trắc nghiệm không giới hạn
Mua cả năm Tiết kiệm tới 48%
14

Có thể bạn quan tâm

Xác thực tài khoản!

Theo Nghị định 147/2024/ND-CP, bạn cần xác thực tài khoản trước khi sử dụng tính năng này. Chúng tôi sẽ gửi mã xác thực qua SMS hoặc Zalo tới số điện thoại mà bạn nhập dưới đây:

Số điện thoại chưa đúng định dạng!
Số điện thoại này đã được xác thực!
Bạn có thể dùng Sđt này đăng nhập tại đây!
Lỗi gửi SMS, liên hệ Admin
Sắp xếp theo
🖼️

Thi học sinh giỏi lớp 12

Xem thêm
🖼️

Gợi ý cho bạn

Xem thêm