Đề thi khảo sát chất lượng đầu năm môn Toán lớp 6 huyện Kim Sơn, Ninh Bình năm học 2015 - 2016
Đề thi khảo sát chất lượng đầu năm môn Toán lớp 6
Đề thi khảo sát chất lượng đầu năm môn Toán lớp 6 huyện Kim Sơn, Ninh Bình năm học 2015 - 2016 được VnDoc.com sưu tầm và đăng tải gồm đề thi và đáp án, giúp các bạn học sinh ôn tập và củng cố lại kiến thức môn Toán, chuẩn bị tốt cho năm học mới. Mời các bạn tham khảo.
Đề thi khảo sát chất lượng đầu năm lớp 6 môn Ngữ văn năm 2015 - 2016 huyện Kim Sơn, Ninh Bình
Đề khảo sát chất lượng đầu năm lớp 6 môn Toán năm học 2014 - 2015 trường THCS Xuân Dương, Hà Nội
|
PHÒNG GIÁO DỤC VÀ ĐÀO TẠO HUYỆN KIM SƠN
|
ĐỀ KHẢO SÁT CHẤT LƯỢNG LỚP 6 ĐẦU NĂM HỌC 2015 - 2016 Môn: TOÁN Thời gian: 90 phút (Không kề thời gian phát đề) |
Câu 1 (2.0 điểm): Điền số thích hợp và dấu chấm:
a) 42m2 6cm2 = ............... ha
b) 5m3 7dm3 23cm3 = ............... cm3
c) 7km2 8m2 9cm2 = ............... m2
d) 41m3 18dm3 5cm3 = ...............dm3
Câu 2 (2.5 điểm): Tính giá trị của biểu thức:
a) 246 : 6 + 150 2,5
![]()
c) 8 giờ 3 phút 5 giây – 0,15 ngày
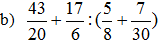
Câu 3 (1.0 điểm):
Tìm x, biết: ![]()
Câu 4 (2,5 điểm):
Một thùng xách nước hình hộp chữ nhật có chiều dài 3dm, rộng 2dm, cao 4dm.
a) Tìm thể tích của thùng.
b) Người ta dùng thùng này để đổ nước vào một cái bể hình lập phương cạnh 1,5m. Khi đổ được 100 thùng thì được 90% thể tích của bể. Hỏi lúc đầu trong bể có bao nhiêu lít nước.
Câu 5 (2 điểm):
Một đội công nhân có 38 người nhận sửa một đoạn đường dài 1330m trong 5 ngày. Hỏi muốn sửa một đoạn đường tương tự dài 1470m trong hai ngày thì cần bao nhiêu công nhân (mức làm của mỗi người như nhau).
Đáp án đề thi khảo sát chất lượng đầu năm môn Toán lớp 6
Câu 1 (2.0 điểm):
a) 42m2 6cm2 = 0,420006 ha
b) 5m3 7dm3 23cm3 = 5007023 cm3
c) 7km2 8m2 9cm2 = 70000008,0009 m2
d) 41m3 18dm3 5cm3 = 41018,005 dm3
Câu 2 (2.5 điểm):
a) 246 : 6 + 150 2,5 = 104 +375 = 479

c) Đổi 0,15 ngày = 24 giờ 0,15 = 3,6 giờ = 3 giờ 36 phút
Ta có 8 giờ 3 phút 5 giây – 0,15 ngày
= 8 giờ 3 phút 5 giây - 3 giờ 36 phút
= 7 giờ 63 phút 5 giây - 3 giờ 36 phút
= 4 giờ 27 phút 5 giây.
Câu 3 (1.0 điểm):

Câu 4 (2,5 điểm):
a) Thể tích của thùng là 3 x 2 x 4 = 24 (dm3) hay 24 l
b) Thể tích của bể nước là 1,5 x 1,5 x 1,5 = 3,375 (m3)
3,375m3 = 3375dm3 = 3375l
90% thể tích của bể là ![]()
Lượng nước trong 100 thùng là: 24 x 100 = 2400 l
Lượng nước có trong bể lúc đầu là: 3037,5 – 2400 = 637,5 l
Câu 5 (2 điểm):
Mỗi ngày 38 công nhân sửa được 1300 : 5 = 266 (m)
Mỗi ngày một người sửa được 266 : 38 = 7 (m)
Muốn sửa 1470m đường trong 2 ngày thì mỗi ngày phải sửa:
1470 : 2 = 735 (m)
Số công nhân cần có để sửa 1470m đường trong 2 ngày là:
735 : 7 = 105 (người)