Đề thi khảo sát chất lượng đầu năm môn Toán lớp 8 huyện Bố Trạch, Quảng Bình năm học 2016 - 2017
Đề thi khảo sát chất lượng đầu năm môn Toán lớp 8
Đề thi khảo sát chất lượng đầu năm môn Toán lớp 8 huyện Bố Trạch, Quảng Bình năm học 2016 - 2017 là tài liệu tham khảo hay được vndoc.com sưu tầm. Đề thi gồm 5 câu tự luận với thời gian làm bài là 90 phút. Mời các bạn tham khảo.
Đề thi khảo sát chất lượng đầu năm môn Toán lớp 8 trường THCS Cao Viên, Hà Nội năm học 2016 - 2017
Đề thi khảo sát chất lượng đầu năm môn Toán lớp 8 huyện Kim Sơn, Ninh Bình năm học 2015 - 2016
| PHÒNG GD & ĐT BỐ TRẠCH | ĐỀ THI KHẢO SÁT CHẤT LƯỢNG ĐẦU NĂM NĂM HỌC 2016 – 2017 Môn: Toán – Khối: 8 Thời gian làm bài: 90 phút |
Câu 1: (1,0 điểm)
a. Muốn nhân hai đơn thức ta làm như thế nào?
b. Áp dụng: Tính tích của 3x2yz và –5xy3
Câu 2: (1,0 điểm)
a. Nêu tính chất ba đường trung tuyến của tam giác.
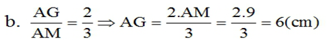
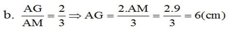
b. Áp dụng: Cho ΔABC, AM là đường trung tuyến (MЄBC).
G là trọng tâm. Tính AG biết AM = 9cm.
Câu 3: (2,5 điểm)
a. Viết đa thức sau dưới dạng tích của hai đa thức: 4x2 – 9y2
b. Rút gọn biểu thức: (x + 3)2 + (4 - x) (x + 8)
c. Tính nhanh giá trị biểu thức: A = x2 – 6x + 10 tại x = 103
Câu 4: (2,5 điểm)
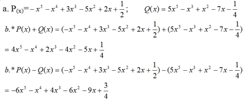
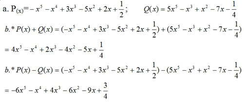
Cho hai đa thức: Є

a. Sắp xếp các hạng tử của mỗi đa thức trên theo luỹ thừa giảm dần của biến.
b. Tính P(x) + Q(x) và P(x) – Q(x).
Câu 5: (3,0 điểm)
Cho ΔABC vuông tại A. Đường phân giác BD (DЄAC). Kẻ DH vuông góc với BC (HЄBC). Gọi K là giao điểm của BA và HD.
Chứng minh:
a. AD = HD
b. BD⊥KC
c. ∠DKC = ∠DCK
Đáp án đề thi khảo sát chất lượng đầu năm môn Toán lớp 8
| PHÒNG GD & ĐT BỐ TRẠCH | ĐÁP ÁN ĐỀ THI KHẢO SÁT CHẤT LƯỢNG NĂM HỌC 2016 – 2017 Môn: Toán – Khối: 8 |
Câu 1. (1,0 điểm)
a. Nêu đúng cách nhân hai đơn thức (0,5 điểm)
b. 3x2 yz .( –5xy3)=-15x3y4z (0,5 điểm)
Câu 2. (1,0 điểm)
a. Nêu đúng tính chất (0,5 điểm)
b. Áp dụng (0,5 điểm)

Câu 3. (2,5 điểm)
a.Viết được dưới dạng tích: (2x – 3y)(2x + 3y) (1,0 điểm)
b.Tính được: (x +3)2 = x2 + 6x + 9 (0,5 điểm)
Tính được: (4 - x) (x + 8) = 4x + 3 – x2 – 8x (0,25 điểm)
Thu gọn đến kết quả: 2x + 12 (0,25 điểm)
c. A = x2 – 6x + 9 + 1 = (x -3)2 + 1
Thay số ta được giá trị A = 10001 (0,5 điểm)
Câu 4. (2,5 điểm)
- Làm đúng câu a (1,0 điểm)
- Làm đúng câu b (1,5 điểm)

Câu 5. (3,0 điểm)
Vẽ hình, giả thiết, kết luận đúng (0,5 điểm)

a. Chứng minh được
ΔABD = ΔHBD (cạnh huyền – góc nhọn).
=> AD = HD (cạnh tương ứng)
b. Xét ΔBKC có D là trực tâm => BD là đường cao ứng cạnh KC
=> BD vuông góc KC
c. ΔAKD = ΔHCD (cạnh góc vuông - góc nhọn kề)
=> DK = DC => ΔDKC cân tại D => DKC = DCK
Hết
-----------------